精英家教网 > 高中化学 > 题目详情

在相同的温度和压强下,A容器充满O2,B容器充满等质量的CH4,则两容器的体积(容积)比是________;两容器中气体所含的原子总数之比是________.

答案:
解析:

  【解答】,

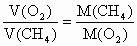
  【巧解导析】由阿伏加德罗定律的推论有:可知,;又由可知,,所以


提示:

解题的关键是能利用阿伏加德罗定律建立气体体积与气体质量的关系.否则易出错.


练习册系列答案
相关习题

科目:高中化学 来源: 题型:

在相同的温度和压强下,二氧化碳和笑气(化学式为N2O)的体积相同,则下列它们的(  )一定相同.
(1)分子数 (2)原子数 (3)密度 (4)质量 (5)物质的量.

查看答案和解析>>

科目:高中化学 来源: 题型:

在相同的温度和压强下,4个容器中分别装有4种气体.已知各容器中的气体和容器的容积分别是a.CO2,100mL;b.O2,200mL;c.N2,400mL;d.CH4,600mL,则4个容器中气体的质量由大到小的顺序是(  )

查看答案和解析>>

科目:高中化学 来源: 题型:

有机物甲的分子式为C9H18O2,在酸性条件下甲水解为乙和丙两种有机物,在相同的温度和压强下,同质量的乙和丙的蒸气所占体积相同,则甲可能结构有(  )

查看答案和解析>>

科目:高中化学 来源: 题型:

对于在一定条件下密闭容器中进行的反应N2+3H22NH3,下列有关推断正确的是(  )

查看答案和解析>>

科目:高中化学 来源: 题型:

(1)在我国使用最早的合金是
 
,目前用量最大,用途最广泛的合金是
 

(2)0.5mol H2O 的质量为
 
g,共有
 
个原子.
(3)质量都是50g 的Cl2、NH3、CO2、O2 四种气体中,含有分子数最少的是
 
;在相同的温度和压强下,体积最大的是
 

(4)配制50mL 0.2mol/L CuSO4溶液,需要CuSO4?5H2O
 
g.
(5)氯气可用于自来水的杀菌、消毒,请用化学方程式和简要的文字说明理由:
 

查看答案和解析>>

同步练习册答案