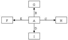
£¨14·Ö£©ÏÂͼÖУ¬A¡¢B¡¢C¡¢D¡¢EÊǵ¥ÖÊ£¬G¡¢H¡¢I¡¢FÊÇB¡¢C¡¢D¡¢E·Ö±ðºÍAÐγɵĶþÔª»¯ºÏÎï¡£

ÒÑÖª£º
¢Ù·´Ó¦Äܷųö´óÁ¿µÄÈÈ£¬¸Ã·´Ó¦ÔøÓ¦ÓÃÓÚÌú¹ìµÄº¸½Ó£»
¢ÚIÊÇÒ»ÖÖ³£¼ûµÄÎÂÊÒÆøÌ壬ËüºÍ¿ÉÒÔ·¢Éú·´Ó¦£º2E£«I2F£«D£¬FÖеÄEÔªËØµÄÖÊÁ¿·ÖÊýΪ60%£®
»Ø´ðÎÊÌ⣺
£¨1£©¢ÙÖз´Ó¦µÄ»¯Ñ§·½³ÌʽΪ________________________________£»
£¨2£©»¯ºÏÎï¢ñµÄµç×ÓʽΪ______________________£¬ËüµÄ¿Õ¼ä¹¹ÐÍÊÇ_________£»
£¨3£©1£®6g G ÈÜÓÚÑÎËᣬµÃµ½µÄÈÜÒºÓëÍ­·ÛÍêÈ«·´Ó¦£¬¼ÆËãÖÁÉÙËùÐèÍ­·ÛµÄÖÊÁ¿______________________£»
£¨4£©CÓë¹ýÁ¿NaOHÈÜÒº·´Ó¦µÄÀë×Ó·½³ÌʽΪ_______________________£¬·´Ó¦ºóÈÜÒºÓë¹ýÁ¿»¯ºÏÎï¢ñ·´Ó¦µÄÀë×Ó·½³ÌʽΪ_______________________;
£¨5£©EÔÚIÖÐȼÉչ۲쵽µÄÏÖÏóÊÇ______________________¡£

£¨Ã¿¿Õ2·Ö¡¢¹²14·Ö£©

£¨4£©2Al£«2OH£­£«2H2O=2AlO2£­£«3H2¡ü
AlO2£­£«CO2£«2H2O=HCO3£­£«Al£¨OH£©3¡ý
£¨5£©Ã¾Ìõ¾çÁÒȼÉÕ£¬Éú³É°×É«·ÛÄ©£¬·´Ó¦Æ÷ÄÚ±Ú¸½×ÅÓкÚÉ«µÄ̼

½âÎö

Á·Ï°²áϵÁдð°¸
Ïà¹ØÏ°Ìâ

¿ÆÄ¿£º¸ßÖл¯Ñ§ À´Ô´£º ÌâÐÍ£º

ÒÑÖªÁò·ÛÓëÑÇÁòËáÄÆ¹²ÈÈ¿ÉÖÆµÃÁò´úÁòËáÄÆNa2S2O3£®ÏÖÒÔÁò»¯ÑÇÌúΪÖ÷ÒªÔ­ÁÏ£¬°´ÏÂÍ¼ÖÆÈ¡Áò´úÁòËáÄÆ£®ÏÂͼÖеÄA¡¢B¡¢CºÍD¶¼ÊÇÁòµ¥ÖÊ»òÊèµÄ»¯ºÏÎÆäËû²»º¬ÁòµÄ»¯ºÏÎïÒÑÂÔÈ¥£¬¸÷²½·´Ó¦¿ÉÌí¼Ó±ØÒªµÄÊÔ¼Á£®
¾«Ó¢¼Ò½ÌÍø
Çë»Ø´ðÎÊÌ⣺
£¨1£©ÎïÖÊAµÄ»¯Ñ§Ê½ÊÇ
 
£»ÎïÖÊCµÄ»¯Ñ§Ê½ÊÇ
 
£®
£¨2£©·´Ó¦£¨¢ò£©µÄ»¯Ñ§·½³ÌʽÊÇ
 
£»·´Ó¦£¨V£©µÄ»¯Ñ§·½³ÌʽÊÇ
 
£®

²é¿´´ð°¸ºÍ½âÎö>>

¿ÆÄ¿£º¸ßÖл¯Ñ§ À´Ô´£º ÌâÐÍ£º

ÒÑ֪ʵÑéÊÒ¿ÉÓñ½¼×ËáÄÆ·ÛÄ©ºÍ¼îʯ»Ò¹²ÈÈÖÆÈ¡±½£¬¸Ã·´Ó¦·¢ÉúµÄÔ­Àí¿É±íʾÈçÏ£º

ÏÂͼÖУ¬A¡¢B¡¢C¡¢D¡¢E¡¢FÔÚ³£ÎÂʱ¾ùÎªÆøÌ壬A¡¢B·Ö×ÓÖеĵç×ÓÊýÏàͬ£¬G¡¢H¾ùΪÑõ»¯ÎÆäÖз´Ó¦Éú³ÉµÄË®¼°º¬Í­»¯ºÏÎï¾ùÂÔÈ¥£¬·´Ó¦Ìõ¼þδעÃ÷¡£

ÊÔ¸ù¾ÝÉÏͼ¸÷ÎïÖʼäµÄ±ä»¯»Ø´ðÏÂÁÐÎÊÌ⣺

(1)д³öXµÄ»¯Ñ§Ê½_________________£»

(2)д³öÎïÖÊBºÍGµÄµç×Óʽ£ºB_________________¡¢G_________________£»

(3)·´Ó¦¢ñµÄ»¯Ñ§·½³Ìʽ__________________________________£»

(4)·´Ó¦¢òµÄÀë×Ó·½³Ìʽ__________________________________£»

(5)ÔÚÉÏÊö¸÷²½·´Ó¦ÖУ¬ÓÐÁ½ÖÖÎïÖʼÈ×÷Ñõ»¯¼ÁÓÖ×÷»¹Ô­¼Á£¬ËüÃÇÊÇ_________________¡¢_________________¡£

²é¿´´ð°¸ºÍ½âÎö>>

¿ÆÄ¿£º¸ßÖл¯Ñ§ À´Ô´£º ÌâÐÍ£º

£¨8·Ö£©

ÏÂͼÖУ¬A¡¢B¡¢C¡¢D¡¢EÊǵ¥ÖÊ£¬G¡¢H¡¢I¡¢FÊÇB¡¢C¡¢D¡¢E·Ö±ðºÍAÐγɵϝºÏÎï¡£

ÒÑÖª£º

¢Ù  ·´Ó¦Äܷųö´óÁ¿µÄÈÈ£¬¸Ã·´Ó¦ÔøÓ¦ÓÃÓÚÌú¹ìµÄº¸½Ó£»

¢Ú  IÊÇÒ»ÖÖ³£¼ûµÄÎÂÊÒÆøÌ壬ËüºÍ¿ÉÒÔ·¢Éú·´Ó¦£º2E£«I2F£«D£¬FÖеÄEÔªËØµÄÖÊÁ¿·ÖÊýΪ60%.

»Ø´ðÎÊÌ⣺

£¨1£©¢ÙÖз´Ó¦µÄ»¯Ñ§·½³ÌʽΪ____________________________________________£»

£¨2£©»¯ºÏÎï¢ñµÄµç×ÓʽΪ______________________£»

£¨3£©CÓë¹ýÁ¿NaOHÈÜÒº·´Ó¦µÄÀë×Ó·½³ÌʽΪ___________________________;

£¨4£©ÍƲâEÔÚIÖÐȼÉÕ¿ÉÄܹ۲쵽µÄÏÖÏóÊÇ__________________________¡£

 

²é¿´´ð°¸ºÍ½âÎö>>

¿ÆÄ¿£º¸ßÖл¯Ñ§ À´Ô´£º2007ÄêÆÕͨ¸ßµÈѧУÕÐÉúÈ«¹úͳһ¿¼ÊÔ£¨È«¹ú¾í¢ñ£©Àí×Û»¯Ñ§²¿·Ö ÌâÐÍ£ºÌî¿ÕÌâ

£¨15·Ö£©¡¡¡¡
ÏÂͼÖеÄA¡¢B¡¢C¡¢D¡¢E¡¢F¡¢G¾ùΪÓлúÎï

¾ÝÉÏͼ»Ø´ðÎÊÌ⣺
£¨1£©DµÄ»¯Ñ§Ãû³ÆÊÇ¡¡¡¡¡¡¡¡¡£
£¨2£©·´Ó¦¢ÛµÄ»¯Ñ§·½³ÌʽÊÇ£º¡¡¡¡¡¡¡¡¡¡¡¡¡¡¡¡¡¡¡¡¡¡¡¡¡¡£¨ÓлúÎïÐëÓýṹ¼òʽ±íʾ£©
£¨3£©BµÄ·Ö×ÓʽÊÇ£º¡¡¡¡¡¡¡¡¡¡¡¡¡¡¡¡¡¡¡¡¡¡¡¡
AµÄ½á¹¹¼òʽÊÇ¡¡¡¡¡¡¡¡¡¡¡¡¡¡¡¡·´Ó¦µÄ·´Ó¦ÀàÐÍÊÇ¡¡¡¡¡¡¡¡¡¡¡¡¡¡¡¡¡¡¡¡¡¡¡¡¡¡¡¡
£¨4£©·ûºÏÏÂÁÐ3¸öÌõ¼þµÄBµÄͬ·ÖÒì¹¹ÌåµÄÊýÄ¿ÓС¡¡¡¸ö
¢¡£©º¬ÓÐÁÚ¶þÈ¡´ú±½»·½á¹¹¡¢¡¡¢¢£©ÓëBÓÐÏàͬ¹ÙÄÜÍÅ¡¢¢££©²»ÓëFeCl3ÈÜÒº·¢ÉúÏÔÉ«·´Ó¦¡£
д³öÆäÖÐÈÎÒâÒ»¸öͬ·ÖÒì¹¹ÌåµÄ½á¹¹¼òʽ¡¡¡¡¡¡¡¡¡¡¡¡¡¡¡¡¡¡¡¡¡¡¡¡
£¨5£©GÊǵĹ¤ÒµÔ­ÁÏ£¬Óû¯Ñ§·½³Ìʽ±íʾGµÄÒ»ÖֵĹ¤ÒµÓÃ;¡¡¡¡¡¡¡¡¡¡¡¡¡¡¡¡¡¡¡¡¡¡¡¡

²é¿´´ð°¸ºÍ½âÎö>>

¿ÆÄ¿£º¸ßÖл¯Ñ§ À´Ô´£º2011-2012ѧÄêÄÚÃɹŰÍÊÐÒ»Öи߶þÏÂѧÆÚ4ÔÂÔ¿¼»¯Ñ§ÊÔ¾í£¨´ø½âÎö£© ÌâÐÍ£ºÊµÑéÌâ

ÒÑÖªÏÂÁÐÊý¾Ý£º

ÏÂͼΪʵÑéÊÒÖÆÈ¡ÒÒËáÒÒõ¥µÄ×°ÖÃͼ¡£

(1)µ±±¥ºÍ̼ËáÄÆÈÜÒºÉÏ·½ÊÕ¼¯µ½½Ï¶àÒºÌåʱ£¬Í£Ö¹¼ÓÈÈ£¬È¡ÏÂСÊÔ¹ÜB£¬³ä·ÖÕñµ´£¬¾²Öá£Õñµ´Ç°ºóµÄʵÑéÏÖÏó_________(ÌîÑ¡Ïî)¡£

A£®ÉϲãÒºÌå±ä±¡B£®Ï²ãÒºÌåºìÉ«±ädz»ò±äΪÎÞÉ«
C£®ÓÐÆøÌå²úÉúD£®ÓйûÏãζ
(2)Ϊ·ÖÀëÒÒËáÒÒõ¥¡¢ÒÒ´¼¡¢ÒÒËáµÄ»ìºÏÎ¿É°´ÏÂÁв½Öè½øÐзÖÀ룺

¢ÙÊÔ¼Á1×îºÃÑ¡ÓÃ___________£»
¢Ú²Ù×÷1ÊÇ_____£¬ËùÓõÄÖ÷ÒªÒÇÆ÷Ãû³ÆÊÇ________£»
¢ÛÊÔ¼Á2×îºÃÑ¡ÓÃ___________£»
¢Ü²Ù×÷2ÊÇ___________£»
¢Ý²Ù×÷3ÖÐζȼÆË®ÒøÇòµÄλÖÃӦΪÈçÏÂͼÖÐ______(Ìîa¡¢b¡¢c¡¢d)Ëùʾ£¬ÔڸòÙ×÷ÖУ¬³ýÕôÁóÉÕÆ¿¡¢Î¶ȼÆÍ⣬»¹ÐèÒªµÄ²£Á§ÒÇÆ÷ÓÐ_______¡¢_______¡¢_______¡¢______£¬ÊÕ¼¯ÒÒËáµÄÊÊÒËζÈÊÇ___________¡£

²é¿´´ð°¸ºÍ½âÎö>>

ͬ²½Á·Ï°²á´ð°¸