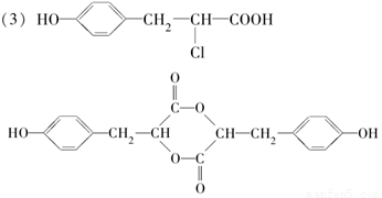
ÓлúÎïA¡¢B¡¢C¡¢D¡¢E¡¢FµÄת»¯¹ØÏµÈçÏ£º

ÒÑÖª£º¢ÙAÊÇ·¼Ïã×廯ºÏÎÆä±½»·ÉÏÓÐ2¸ö¶Ôλȡ´ú»ù£¬¾ù²»º¬Ö§Á´£¬ÓöFeCl3ÈÜÒºÄÜ·¢ÉúÏÔÉ«·´Ó¦¡£

¢ÚF·Ö×ÓÖгýÁË2¸ö±½»·Í⣬»¹º¬ÓÐÒ»¸öÁùÔª»·¡£

Çë»Ø´ðÏÂÁÐÎÊÌ⣺

£¨1£©AÖк¬ÓÐ________ÖÖ¹ÙÄÜÍÅ£¬AÓë×ãÁ¿äåË®·´Ó¦µÄ»¯Ñ§·½³ÌʽÊÇ_______________________¡£

£¨2£©·´Ó¦¢Ù¡«¢ÛÖÐÊôÓڼӳɷ´Ó¦µÄÓÐ________(ÌîÐòºÅ)¡£

£¨3£©CµÄ½á¹¹¼òʽΪ________________£¬FµÄ½á¹¹¼òʽΪ__________________¡£

£¨4£©A¡úBµÄ»¯Ñ§·½³ÌʽÊÇ__________________________________________¡£

 

¡¾´ð°¸¡¿

£¨1£©¡¡3¡¡  +3Br2¡ú2HBr+

£¨2£©¢Ù

   

£¨4£©+NaHCO3¡úH2O+CO2+

¡¾½âÎö¡¿

ÊÔÌâ·ÖÎö£º£¨1£©ÓöFeCl3ÈÜÒºÄÜ·¢ÉúÏÔÉ«·´Ó¦£¬ËµÃ÷AÖк¬·ÓôÇ»ù£¬ÄÜÓë̼ËáÇâÄÆ·´Ó¦ËµÃ÷º¬ôÈ»ù£¬ÄÜÓëHCl·´Ó¦£¬ÇÒÉú³ÉµÄC±ÈB¶à2¸öHÔ­×ÓºÍ1¸öClÔ­×Ó£¬ËµÃ÷AÓëHCl·¢Éú¼Ó³É·´Ó¦£¬º¬ÓÐ1¸ö̼̼˫¼ü£¬ËùÒÔAÖк¬3ÖÖ¹ÙÄÜÍÅ£¬½á¹¹¼òʽΪ£º£»Ì¼Ì¼Ë«¼üÓëBr2¼Ó³É£¬±½»·ÉÏôÇ»ù2¸öÁÚλÉϵÄH±»BrÈ¡´ú£¬¿Éд³ö»¯Ñ§·½³Ìʽ¡£

£¨2£©·´Ó¦¢ÙΪ¼Ó³É·´Ó¦£¬·´Ó¦¢ÚΪȡ´ú·´Ó¦£¬·´Ó¦¢ÛΪȡ´ú·´Ó¦¡£

£¨3£©CΪA £º  ÓëHCl¼Ó³ÉµÄ²úÎÒòΪºóÃæµÄ²úÎïFº¬ÓÐÁùÔª»·£¬ËùÒÔClÁ¬½ÓÔÚÓëôÈ»ùÏàÁ¬µÄCÔ­×ÓÉÏ£¬½á¹¹¼òʽΪ£º  C¾­Ë®½â¡¢ËữºóµÃµ½E£¬2·Ö×ÓEÖ®¼ä·¢Éúõ¥»¯·´Ó¦¿ÉµÃF£º

£¨4£©AÖк¬ÓÐôÈ»ù£¬ÄÜÓëNaHCO3ÈÜÒº·´Ó¦Éú³ÉôÈËáÑΡ¢CO2ºÍË®¡£

¿¼µã£º±¾Ì⿼²éÓлú»¯ºÏÎïµÄÍÆ¶Ï¡¢¹ÙÄÜÍźͽṹ¼òʽµÄÅжϡ¢»¯Ñ§·½³ÌʽµÄÊéд¡£

 

Á·Ï°²áϵÁдð°¸
Ïà¹ØÏ°Ìâ

¿ÆÄ¿£º¸ßÖл¯Ñ§ À´Ô´£º ÌâÐÍ£º

³£¼ûÓлúÎïA¡¢B¡¢C¡¢D¡¢E¡¢FÓÐÈçÏÂͼת»¯¹ØÏµ£¬ÆäÖÐAµÄ²úÁ¿¿ÉÒÔÓÃÀ´ºâÁ¿Ò»¸ö¹ú¼ÒµÄʯÓÍ»¯¹¤·¢Õ¹Ë®Æ½£¬EÊǾßÓÐË®¹ûÏãζµÄÓлúÎʵÑé²âµÃEµÄÏà¶Ô·Ö×ÓÖÊÁ¿Îª88£¬FÊÇÒ»Öָ߷Ö×Ó»¯ºÏÎ¿ÉÓÃÓÚÖÆÊ³Æ·´üµÈ£®Çë·ÖÎö»Ø´ð£º

£¨1£©Ð´³öÏÂÁÐÎïÖʵĽṹ¼òʽ£º
A
CH2=CH2
CH2=CH2
£¬C
CH3CHO
CH3CHO
£®
£¨2£©ÓлúÎïDÖк¬ÓеĹÙÄÜÍÅΪ
-COOH»òôÈ»ù
-COOH»òôÈ»ù
£¬·´Ó¦¢ÛµÄ·´Ó¦ÀàÐÍÊÇ
õ¥»¯·´Ó¦»òÈ¡´ú·´Ó¦
õ¥»¯·´Ó¦»òÈ¡´ú·´Ó¦
£®
£¨3£©ÓÃÒ»¸ö»¯Ñ§·½³ÌʽÀ´±íʾÓлúÎïAÔÚ¹¤ÒµÉú²ú·½ÃæµÄÓ¦Óãº
nCH2=CH2
´ß¼Á
nCH2=CH2
´ß¼Á
£®

²é¿´´ð°¸ºÍ½âÎö>>

¿ÆÄ¿£º¸ßÖл¯Ñ§ À´Ô´£º ÌâÐÍ£º

ËÄÖÖͬÀàÓлúÎïA¡¢B¡¢C¡¢D£¬ËüÃǵķÖ×Óʽ¾ùΪC4H10O£®ÒÑÖªA¿ÉÑõ»¯ÎªE£¬B¿ÉÑõ»¯³ÉF£¬C³ý¿ÉȼÉÕÍâ²»±»Ñõ»¯£¬AºÍC·Ö±ðÍÑË®ºóµÃµ½Í¬Ò»ÖÖ²»±¥ºÍÌþ£¬EºÍF¶¼¿É·¢ÉúÒø¾µ·´Ó¦£®ÔòËüÃǵĽṹ¼òʽ·Ö±ðΪ£º
A
£¨CH3£©2CHCH2OH
£¨CH3£©2CHCH2OH
£»B
CH3CH2CH2CH2OH
CH3CH2CH2CH2OH
£»C
£¨CH3£©3COH
£¨CH3£©3COH
£»
D
CH3CH2CHOHCH3
CH3CH2CHOHCH3
£»E
£¨CH3£©2CHCHO
£¨CH3£©2CHCHO
£»F
CH3CH2CH2CHO
CH3CH2CH2CHO
£®

²é¿´´ð°¸ºÍ½âÎö>>

¿ÆÄ¿£º¸ßÖл¯Ñ§ À´Ô´£º ÌâÐÍ£º

£¨2012?Ì©°²Ò»Ä££©ÓлúÎïA¡¢B¡¢C¡¢D´æÔÚÈçÏÂת»¯¹ØÏµ£®¿§·ÈËáAÓëFeCl3ÈÜÒº×÷ÓÃÏÔ×ÏÉ«£¬CµÄ»¯Ñ§Ê½ÎªC9H5O4Na3£®
£¨1£©¿§·ÈËáAÖк¬Ñõ¹ÙÄÜÍŵÄÃû³ÆÎª
ôÈ»ùºÍ·ÓôÇ»ù
ôÈ»ùºÍ·ÓôÇ»ù
£»Aת»¯ÎªDµÄ·´Ó¦ÀàÐÍΪ
¼Ó³É·´Ó¦
¼Ó³É·´Ó¦
£®
£¨2£©¿§·ÈËáA¿ÉÒÔ·¢ÉúµÄ·´Ó¦ÊÇ
¢Ú¢Ü
¢Ú¢Ü
£¨ÌîдÐòºÅ£©£®
¢ÙË®½â·´Ó¦  ¢ÚÑõ»¯·´Ó¦  ¢ÛÏûÈ¥·´Ó¦  ¢Ü¼Ó¾Û·´Ó¦
£¨3£©¿§·ÈËáA¿É¿´×÷1£¬3£¬4-ÈýÈ¡´ú±½£¬ÆäÖÐÁ½¸öÏàͬµÄ¹ÙÄÜÍÅλÓÚÁÚλ£¬È¡´ú»ùÖв»º¬Ö§Á´£®Ôò¿§·ÈËáAµÄ½á¹¹¼òʽΪ
£®
£¨4£©Bת»¯ÎªCµÄ»¯Ñ§·½³ÌʽΪ
£®

²é¿´´ð°¸ºÍ½âÎö>>

¿ÆÄ¿£º¸ßÖл¯Ñ§ À´Ô´£º ÌâÐÍ£º

[»¯Ñ§©¤Ñ¡ÐÞÓлú»¯Ñ§»ù´¡]
ÒÑÖªÓлúÎïA¡¢B¡¢C¡¢D¡¢EÓÐÈçͼËùʾת»¯¹ØÏµ£º

ÆäÖÐCÄܸúNaHCO3·¢Éú·´Ó¦£¬CºÍDµÄÏà¶Ô·Ö×ÓÖÊÁ¿ÏàµÈ£¬ÇÒEΪÎÞÖ§Á´µÄ»¯ºÏÎ¸ù¾ÝÈçͼ»Ø´ðÎÊÌ⣺
£¨1£©B·Ö×ÓÖеĺ¬Ñõ¹ÙÄÜÍÅÃû³ÆÊÇ
ôÈ»ù¡¢ôÇ»ù
ôÈ»ù¡¢ôÇ»ù
£»
д³öÒ»¸öͬʱ·ûºÏÏÂÁÐËĸöÌõ¼þµÄBµÄͬ·ÖÒì¹¹ÌåµÄ½á¹¹¼òʽ
£®
a£®º¬±½»·½á¹¹£¬È¡´ú»ùλÓÚ¼äλ       b£®ÄÜ·¢ÉúË®½â·´Ó¦
c£®ÄÜ·¢ÉúÒø¾µ·´Ó¦                   d£®ÓëFeCl3ÈÜÒº·¢ÉúÏÔÉ«·´Ó¦£®
£¨2£©Ð´³ö¢ÚµÄ·´Ó¦·½³Ìʽ£º
£®
£¨3£©Ð´³öDÓëŨÁòËáÔÚ¼ÓÈÈÌõ¼þÏ·¢ÉúµÄ·´Ó¦
£®
£¨4£©AµÄ½á¹¹Í²Ê½ÊÇ
£®
£¨5£©ÈôB·Ö×Ó£¨·¢Éú·Ö×Ó¼äÍÑË®£©·¢Éúõ¥»¯·´Ó¦Éú³É¸ß·Ö×ӵĽṹ¼òʽΪ
£®

²é¿´´ð°¸ºÍ½âÎö>>

¿ÆÄ¿£º¸ßÖл¯Ñ§ À´Ô´£º ÌâÐÍ£º

ÒÑÖªÓлúÎïA¡¢B¡¢C¡¢D¡¢E¡¢FÖ®¼äµÄת»¯¹ØÏµÈçͼËùʾ£¬ÊÀ½çÉÏÒѽ«BµÄ²úÁ¿×÷ΪºâÁ¿Ò»¸ö¹ú¼ÒʯÓÍ»¯¹¤·¢Õ¹Ë®Æ½µÄÖØÒª±êÖ¾£®DÊdz£ÓÃ×öÆû³µ·¢¶¯»úµÄ¿¹¶³¼Á£¬EΪ¾ÛºÏÎFµÄʽÁ¿Îª26£®
¾«Ó¢¼Ò½ÌÍø
¸ù¾ÝÐÅÏ¢»Ø´ðÏÂÁÐÎÊÌ⣺
£¨1£©Bת»¯ÎªCµÄ·´Ó¦ÀàÐÍ
 
£®
£¨2£©ÓлúÎïC¾ßÓÐÒÔÏÂÄ½ÃæµÄ»¯Ñ§ÐÔÖÊ
 
£¨ÌîÐòºÅ£©£®
¢Ù¼Ó³É·´Ó¦¡¡¢ÚÈ¡´ú·´Ó¦¡¡¢ÛÏûÈ¥·´Ó¦ ¢Ü´ß»¯Ñõ»¯·´Ó¦¡¡¢Ý»¹Ô­·´Ó¦
£¨3£©EµÄ½á¹¹¼òʽΪ
 
£®
£¨4£©C¡úF·´Ó¦µÄ·½³Ìʽ
 
£®

²é¿´´ð°¸ºÍ½âÎö>>

ͬ²½Á·Ï°²á´ð°¸