精英家教网 > 高中化学 > 题目详情

已知乳酸的结构简式为CH3CH(OH)COOH。试回答:

(1)乳酸分子中含有________和_________两种官能团(写名称);

(2)乳酸与金属钠反应的化学方程式为

___________________________________________________________________;

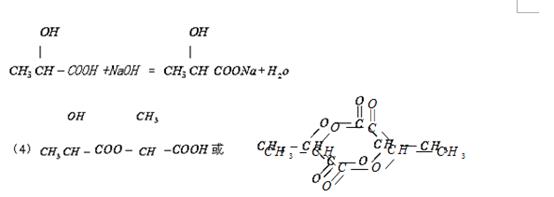
(3)乳酸与NaOH溶液反应的化学方程式为

___________________________________________________________________;

(4)当乳酸和浓硫酸共热时,能产生多种酯类化合物,任意写出两种该类产物的结构简式_________________________________________________________________

练习册系列答案
相关习题

科目:高中化学 来源: 题型:


铁是人类较早使用的金属之一。运用铁的有关知识,回答下列问题:

(1)据有关报道,目前已能冶炼纯度高达99.9999%的铁,关于纯铁的如下叙述中,正确的是(    )

A.硬度比生铁高         B.耐腐蚀性强,不易生锈

C.不能与盐酸反应       D.与不锈钢成分相同    E.在冷的浓硫酸中钝化

(2)向沸水中逐滴滴加1mol·L-1FeC13溶液,至液体呈透明的红褐色,形成该分散系的微粒粒度范围是                       

(3)电子工业需用30%的FeC13溶液腐蚀敷在绝缘板上的铜,制造印刷电路板。请写出FeC13溶液与铜反应的离子方程式                                 ,检验反应后的溶液中还存在Fe3+的试剂                   

(4)欲从腐蚀后的废液中回收铜并重新获得FeC13溶液,现有下列试剂:①蒸馏水 ②铁粉③浓硝酸④浓盐酸⑤烧碱⑥浓氨水⑦氯气,需要用到的一组试剂是(    )

A.①②④⑦         B.①③④⑥         C.②④⑤       D.①④⑥⑦

查看答案和解析>>

科目:高中化学 来源: 题型:


下列表示正确的是    (    )

    A. HClO的结构式:H—O—Cl       B. H2O2的电子式:

    C. CO2的比例模型:       D. 14C的原子结构示意图:

查看答案和解析>>

科目:高中化学 来源: 题型:


海带中含有碘元素,某校研究性学习小组设计了如下实验步骤来提取碘:①通足量氯气②将海带烧成灰,向灰中加水搅拌③加CC14振荡④过滤⑤用分液漏斗分液。合理的操作顺序为                       

A.①→③→⑤→②→④               B.②→①→③→④→⑤

    C.②→④→①→③→⑤               D.③→①→②→⑤→④

查看答案和解析>>

科目:高中化学 来源: 题型:


由CaCO3和MgCO3组的混和物充分加热至质量不再减少时,称得残留的固体质量是原混和物的一半,则残留物中钙、镁两元素原子的物质的量之比(    )

A.1∶1          B.1∶2           C.1∶3           D.2∶1

查看答案和解析>>

科目:高中化学 来源: 题型:


下列电子式书写正确的是

A.氯化钠

B.氨气

C.氯化钙

D.硫化钠

查看答案和解析>>

科目:高中化学 来源: 题型:


已知下列反应的热化学方程式为:                

(1)C(s)+O2(g)=CO2(g)    ΔH 1=-393.5kJ/mol 

(2)CH3COOH(l)+2O2(g)=2CO2(g)+2H2O(l)  ΔH 2=-870.3kJ/mol

(3)H2(g)+O2(g)=H2O(l)  ΔH 3=-285.8kJ/mol 

则2C(s)+2H2(g)+O2(g)=CH3COOH(l) 的反应热ΔH

A.+488.3 kJ/mol B.-488.3 kJ/mol  C.-244.15 kJ/mol D.+244.15 kJ/mol

查看答案和解析>>

科目:高中化学 来源: 题型:



 钢铁发生吸氧腐蚀时,正极发生反应的电极反应式为

A.Fe-2e-=Fe2+    B. Fe-3e-=Fe3+     C.O2+2H2O+4e-=4OH-   D.2H++2e-= H2

查看答案和解析>>

科目:高中化学 来源: 题型:


 下列元素中,属于第三周期IVA族的是

A.钠          B.镁            C.硅             D. 硫

查看答案和解析>>

同步练习册答案