精英家教网 > 高中化学 > 题目详情

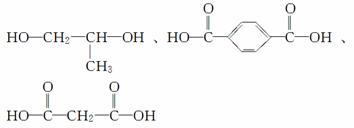
下面是一种线型高分子的一部分:

由此分析,这种高分子化合物的单体至少有______种,它们的结构简式为________________________________________________________________________。


答案 5 

解析 从本题所示的高分子化合物的长链结构中可以看出多处出现类似酯结构的结构单元,所以这种高分子化合物是由酸与醇缩聚而形成的聚酯。据长链可以得知结合处为,则断裂处亦为,断裂后部分加羟基,其余部分加氢,从左到右可依次得出它们的结构简式。


练习册系列答案
相关习题

科目:高中化学 来源: 题型:


已知元素的电负性和元素的化合价一样,也是元素的一种基本性质。下面给出14种元素的电负性:

元素

Al

B

Be

C

Cl

F

Li

Mg

N

Na

O

P

S

Si

电负性

1.5

2.0

1.5

2.5

2.8

4.0

1.0

1.2

3.0

0.9

3.5

2.1

2.5

1.7

已知:两种成键元素间电负性差值大于1.7时,形成离子键,两种成键元素间电负性差值小于1.7时,形成共价键。

(1)根据表中给出的数据,可推知元素的电负性具有的变化规律是_______________

________________________________________________________________________。

(2)判断下列物质是离子化合物还是共价化合物?

Mg3N2 BeCl2 AlCl3 SiC

查看答案和解析>>

科目:高中化学 来源: 题型:


分子中,处于同一平面上的碳原子数至少为( )

A.12个   B.10个   C.8个    D.6个

查看答案和解析>>

科目:高中化学 来源: 题型:


用淀粉为原料酿酒的反应原理是什么?

查看答案和解析>>

科目:高中化学 来源: 题型:


已知氨基酸可发生如下反应:RCHNH2COOH+HNO2—→RCHOHCOOH+N2↑+H2O

且已知:D、E的相对分子质量分别为162和144,可发生如下物质转化关系,如下图所示:

(1)写出B、D的结构简式:B____________,D_________________________________。

(2)写出C→E的化学方程式:______________________________________________。

(3)写出C→D的化学方程式:________________________________________________。

查看答案和解析>>

科目:高中化学 来源: 题型:


某兴趣小组以苯和乙烯为主要原料,采用以下路线合成药物普鲁卡因:

请回答下列问题:

(1)对于普鲁卡因,下列说法正确的是________。

A.可与浓盐酸形成盐

B.不与氢气发生加成反应

C.可发生水解反应

D.能形成内盐

(2)写出化合物B的结构简式________________。

(3)写出B—→C反应所需的试剂____________。

(4)写出C+D—→E的化学反应方程式____________________________________

________________________________________________________________________。

(5)写出同时符合下列条件的B的所有同分异构体的结构简式_____________________。

①分子中含有羧基

②1H­NMR谱显示分子中含有苯环,且苯环上有两种不同化学环境的氢原子

(6)通常采用乙烯为原料制得环氧乙烷后与X反应合成D。请用化学反应方程式表示以乙烯为原料制备X的合成路线(无机试剂任选)。

查看答案和解析>>

科目:高中化学 来源: 题型:


近年来,由于石油价格不断上涨,以煤为原料制备一些化工产品的前景又被看好。下图是以烃A为原料生产人造羊毛的合成路线。

下列说法正确的是 (  )

A.合成人造羊毛的反应属于缩聚反应

B.A生成C的反应属于加成反应

C.A生成D的反应属于取代反应

D.烃A的结构简式为CH2===CH2

查看答案和解析>>

科目:高中化学 来源: 题型:


下列各组物质不互为同分异构体的是(  )

A.2,2­二甲基丙醇和 2­甲基丁醇

B.邻氯甲苯和对氯甲苯

C.2­甲基丁烷和戊烷

D.甲基丙烯酸和甲酸丙酯

查看答案和解析>>

科目:高中化学 来源: 题型:


将土豆切开,一段时间后可观察到切面变蓝,说明土豆中含有 (  )

A.淀粉和I-  B.淀粉和I2

C.淀粉和KIO3  D.葡萄糖和I2

查看答案和解析>>

同步练习册答案