精英家教网 > 高中化学 > 题目详情
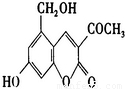
“亮菌甲素”的结构简式为如图,它配以辅料丙二1,3,5:

醇溶成针剂用于临床,而假药“亮菌甲素”是用廉价的二甘醇作为辅料.二甘醇为工业溶剂,有很强的毒性,会使肾功能衰竭.请回答下列问题:
(1)“亮菌甲素”的分子式为   
(2)丙二醇的分子式是C3H8O2,已知两个羟基连在同一个碳原子上的物质不存在.写出其属于醇类的同分异构体的结构简式   
(3)下列有关“亮菌甲素”的叙述正确的是    (填序号).
A.“亮菌甲素”能与H2发生加成反应          B.不能使酸性KMnO4退色
C.“亮菌甲素”分子中含氧官能团只有2种    D.“亮菌甲素”可以与NaOH反应
(4)核磁共振氢谱分析,发现二甘醇分子中有3个吸收峰,其峰面积之比为2:2:1.又知二甘醇中C、O元素的质量分数相同,且H的质量分数为9.4%,1mol二甘醇与足量的金属钠反应生成1molH2.写出二甘醇结构简式   
【答案】分析:(1)根据结构简式判断各原子的个数,可判断分子式;
(2)两个羟基在不同的碳原子上,有相邻和相间两种位置;
(3)“亮菌甲素”中含有酚羟基、醇羟基、醚键以及酯基等官能团;
(4)根据元素的含量判断分子式,二甘醇分子中有3个吸收峰,其峰面积之比为2:2:1,说明分子中有3种不同的H,且个数比为2:2;1,1mol二甘醇与足量的金属钠反应生成1molH2,说明含有2个-OH,以此解答该题.
解答:解:(1)分析有机物结构可知,分子中含有12个C,10个H以及5个O原子,则分子式为C12H10O5
故答案为:C12H10O5
(2)丙二醇的分子式是C3H8O2,对应的同分异构体中两个羟基在不同的碳原子上,有相邻和相间两种位置,
为HOCH2CH2CH2OH、CH3CHOHCHOH,
故答案为:HOCH2CH2CH2OH、CH3CHOHCHOH;
(3)A.“亮菌甲素”中含有苯环和C=C键,能与H2发生加成反应,故A正确;          
B.“亮菌甲素”中含有酚羟基和醇羟基,二者都能使酸性KMnO4退色,故B错误;
C.“亮菌甲素”中含有酚羟基、醇羟基、醚键以及酯基等官能团,含氧官能团有4种,故C错误;    
D.“亮菌甲素”中含有酚羟基,具有酸性,含有酯基,可在碱性条件下水解,可以与NaOH反应,故D正确.
故答案为:A、D;
(4)二甘醇中C、O元素的质量分数相同,且H的质量分数为9.4%,则C、O元素的质量分数都为=45.3%,则分子中N(C):N(H):N(O)==4:3:10,分子式应为C4H10O3
二甘醇分子中有3个吸收峰,其峰面积之比为2:2:1,说明分子中有3种不同的H,且个数比为2:2;1,1mol二甘醇与足量的金属钠反应生成1molH2,说明含有2个-OH,则二甘醇结构简式为HOCH2CH2OCH2CH2OH,
故答案为:HOCH2CH2OCH2CH2OH.
点评:本题考查有机物的推断,题目难度中等,易错点为(4),注意分子式的推断为解答该题的关键,结合题目信息分析可能具有的结构.
练习册系列答案
相关习题

科目:高中化学 来源: 题型:

(2012?奉贤区二模)某种利胆解痉药的有效成分是“亮菌甲素”,其结构简式如图.关于“亮菌甲素”的说法中,不正确的是
(  )

查看答案和解析>>

科目:高中化学 来源: 题型:

某种利胆解痉药的有效成分是亮菌甲素,其结构简式如图,关于亮菌甲素的说法中,正确的是(  )

查看答案和解析>>

科目:高中化学 来源: 题型:

某种利胆解痉药的有效成分是“亮菌甲素”,其结构简式为关于“亮菌甲素”的说法中,正确的是(  )

查看答案和解析>>

科目:高中化学 来源: 题型:

某种利胆解痉药的有效成分是“亮菌甲素”,其结构简式为

关于“亮菌甲素”的说法中,正确的是

    A.“亮菌甲素”极易溶解于水

    B.“亮菌甲素”的分子式为C12H10O5

    C.1 mol“亮菌甲素”最多能和4 mol H2发生加成反应

    D.1 mol “亮菌甲素”最多能和2 mol  NaOH反应

查看答案和解析>>

科目:高中化学 来源:2011-2012学年山东济宁金乡一中高三12月月考化学试卷 题型:选择题

某种利胆解痉药的有效成分是“亮菌甲素”,其结构简式如图所示。关于“亮菌甲素”的说法中,正确的是

A.“亮菌甲素”可以与乙酸发生酯化反应  

B.“亮菌甲素”的分子式为C12H12O5 

C.1 mol“亮菌甲素”最多能和2 mol NaOH反应

D.1 mol“亮菌甲素”最多能和4 mol H2发生加成反应

 

查看答案和解析>>

同步练习册答案