精英家教网 > 高中化学 > 题目详情

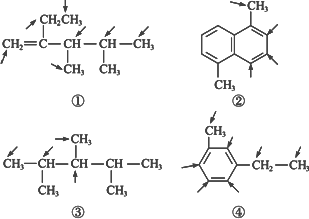
下列有机物的一氯取代物其同分异构体的数目相等的是

[  ]

A.

①和②

B.

②和③

C.

③和④

D.

②和④

答案:B
解析:

首先判断对称面:①和④无对称面,②和③有镜面对称,只需看其中一半即可.然后,看有否连在同一碳原子上的几个甲基:①中有两个甲基连在一碳上,六个氢原子等效;③中也有两个甲基连在同一碳原子上,加上镜面对称,应有十二个氢原子等效.最后用箭头确定不同的氢原子.如下所示,即可知①和④都有七种同分异构体,②和③都只有4种同分异构体.


练习册系列答案
相关习题

科目:高中化学 来源: 题型:

下列有机物的一氯取代物其同分异构体的数目相等的是(  )

A.①和②                  B.②和③                    C.③和④                    D.②和④

查看答案和解析>>

科目:高中化学 来源: 题型:

下列有机物的一氯取代物,同分异构体的数目相等的是(    )

A.①②                 B.②④                       C.③④                  D.①③

查看答案和解析>>

科目:高中化学 来源: 题型:

下列有机物的一氯取代物的同分异构体数目相等的是(  )

A.①和②               B.②和③                    C.③和④                D.②和④

查看答案和解析>>

科目:高中化学 来源: 题型:

下列有机物的一氯取代物其同分异构体的数目相等的是(  )

A.①和②      B.②和③           C.③和④         D.②和④

查看答案和解析>>

科目:高中化学 来源: 题型:

下列有机物的一氯取代物的同分异构体数目相等的是(    )

(1)

(2)

(3)

(4)

A.①、②                B.②、③

C.③、④                D.①、④

查看答案和解析>>

同步练习册答案