精英家教网 > 高中化学 > 题目详情
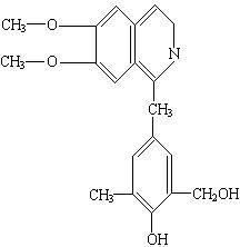
毒品犯罪是当今国际社会的一大公害,因此严禁吸毒、打击贩毒是我国一次长期艰巨的斗争。

1)鸦片是毒品的一种,为黑棕色膏状物,来源于天然植物罂粟中,具有较复杂的组成。其中的罂粟碱,分子结构是:

写出罂粟碱分子的分子式________________

2)复杂的有机物的结构可用“键线式”简化表示,如

可表示为,试用键线式表示罂粟碱的结构:________________

3)罂粟碱分子不属于酚类化合物,试写出它的两种属于酚类物质的同分异构体的结构简式:________________

 

答案:
解析:

1)罂栗碱的分子式为C21H22O4

2)罂栗碱的“键线式”结构为:

3

 


练习册系列答案
相关习题

科目:高中化学 来源: 题型:

(2010?聊城模拟)2009感动中国获奖者张正祥30多年的心血都花在了列滇池的保护上,评选委员认为他是中国真正的环保大使.“科学、技术、社会和环境”是当今世界关注的热点.下列说法错误的是(  )

查看答案和解析>>

科目:高中化学 来源: 题型:

绿色、低碳、环保新能源是当今经济社会关注的热点.
I.如图是太阳光伏电池光电转换系统示意图,由图判断:
精英家教网
N型半导体是电池的
 
极;电流由极流向
 
极(填X、Y)
Ⅱ.下列观点符合科学道理的有:
 

A.核电站能把化学能转化为电能,应大力发展核能;
B.太阳光伏电池是把光能转换成电能的装置,其工作原理与原电池工作原理相同;
C.大量使用锂电池是开发环保新能源的举措;
D.氢氧燃料电池是一种绿色、环保、低碳的新能源;
Ⅲ.2010年全球锂离子电池总产量超过38亿只,回收废旧锂离子电池意义重大,其中需要重点回收利用的是正极材料,其主要成份有LiCoO2(钴酸锂),炭黑,铝箔等,某种回收流程如下:
精英家教网
(1)碱浸时,正极材料中
 
溶解(填名称)发生反应的化学方程式:
 

(2)写出滤液A中通入过量CO2的离子方程式:
 
;D溶液呈
 
(填“酸性”、“碱性”或“中性”),原因是(用离子方程式表示):
 

(3)酸浸发生反应的化学方程式是:
 
;该反应若转移0.5mole-,则在标准状况下产生O2体积为
 
L.

查看答案和解析>>

科目:高中化学 来源: 题型:

 
235
92
U是重要的核工业原料,一直受到国际社会的广泛关注.
 
235
92
U原子核内中子数是(  )
A、92B、143
C、235D、327

查看答案和解析>>

科目:高中化学 来源: 题型:022

毒品犯罪是当今国际社会的一大公害,因此严禁吸毒、打击贩毒是我国一次长期艰巨的斗争。

1)鸦片是毒品的一种,为黑棕色膏状物,来源于天然植物罂粟中,具有较复杂的组成。其中的罂粟碱,分子结构是:

写出罂粟碱分子的分子式________________

2)复杂的有机物的结构可用“键线式”简化表示,如

可表示为,试用键线式表示罂粟碱的结构:________________

3)罂粟碱分子不属于酚类化合物,试写出它的两种属于酚类物质的同分异构体的结构简式:________________

 

查看答案和解析>>

同步练习册答案