精英家教网 > 高中化学 > 题目详情

空气是人类生存所必需的重要资源,为改善空气质量而启动的“蓝天工程”得到了全民的支持。下列措施不利于“蓝天工程”建设的是(  )

A.推广使用燃煤脱硫技术,防治SO2污染

B.实施绿化工程,防治扬尘污染

C.研制开发燃料电池汽车,消除机动车尾气污染

D.加大石油、煤炭的开采速度,增加化石燃料的供应量


解析 城市空气的污染物主要包括碳的氧化物、氮的氧化物、硫的氧化物、悬浮颗粒、含氯化合物、放射性物质等。因此A、B、C项均有利于“蓝天工程”。而D项加大石油、煤炭的开采速度,增加化石燃料的供应量,则会加剧大气污染。

答案 D


练习册系列答案
相关习题

科目:高中化学 来源: 题型:


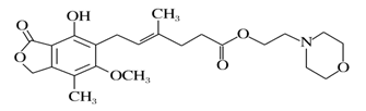
霉酚酸酯(结构如下图)是器官移植中抑制细胞增殖最常用的药物。下列说法正确的是

A. 霉酚酸酯能溶于水

B. 霉酚酸酯能与浓溴水发生取代反应

C. 1 mol霉酚酸酯能与含4 mol NaOH的水溶液完全反应

D. 霉酚酸酯既可以催化加氢,又可以使酸性KMnO4溶液褪色

查看答案和解析>>

科目:高中化学 来源: 题型:


 已知化学反应A2(g)+B2(g)===2AB(g)   ΔH= Q kJ·mol-1,其能量变化如下图所示,

则Q的值正确的是     (    )

     A. a-b                   B.  a     

 C.-b                    D.  b-a

查看答案和解析>>

科目:高中化学 来源: 题型:


N2是空气的重要组成部分,因此有科学家依据蒸汽机的原理,设计制造出液氮蒸汽机,即利用液态氮的蒸发来驱动机车,从而达到环境保护的目的,其原理主要依据是(  )

A.液氮的沸点为-195.8℃,远低于常温

B.N2在空气中燃烧放热

C.N2的化学性质很稳定

D.N2在空气中的体积分数为78%

查看答案和解析>>

科目:高中化学 来源: 题型:


物质氧化性、还原性的强弱,不仅与物质的结构有关,还与物质的浓度和反应温度等有关。下列各组物质:

①Cu与HNO3溶液 ②Cu与FeCl3溶液 ③Zn与H2SO4溶液 ④Fe与HCl溶液

由于浓度不同而能发生不同氧化还原反应的是(  )

A.①③                                 B.③④

C.①②                                 D.①③④

查看答案和解析>>

科目:高中化学 来源: 题型:


某化学兴趣小组为探究铜跟浓硫酸的反应,用下图所示装置进行有关实验。

请回答下列问题:

(1)装置A中发生的化学反应方程式为_____________________。

(2)装置D中试管口放置的棉花应浸一种液体,这种液体是________,其作用是____________________________________。

(3)装置B的作用是贮存多余的气体。当D处有明显的现象后,关闭活塞K,移去酒精灯,但由于余热的作用,A处仍有气体产生,此时B中现象是__________________________________。B中应放置的液体是________(填选项字母)。

a.水                                   b.酸性KMnO4溶液

c.浓溴水                               d.饱和NaHSO3溶液

(4)实验中,取一定质量的铜片和一定体积18 mol·L-1的浓硫酸放在圆底烧瓶中共热,直到反应完毕,发现烧瓶中还有铜片剩余,该小组学生根据所学的化学知识认为还有一定量的硫酸剩余。

①有一定量的余酸但未能使铜片完全溶解,你认为原因是_________________________________________________________。

②下列药品中能用来证明反应结束后的烧瓶中确有余酸的是________(填选项字母)。

a.铁粉                                 b.BaCl2溶液

c.银                                   d.Na2CO3溶液

查看答案和解析>>

科目:高中化学 来源: 题型:


以石墨做电极,电解1 mol/L下列物质的水溶液,下列表述正确的是    

A.若为盐酸溶液,pH减小         B.若为氢氧化钠溶液,pH减小

C.若为硫酸钠溶液,pH不变       D.若为氯化钠溶液,pH不变

查看答案和解析>>

科目:高中化学 来源: 题型:


在容积为1 L的密闭容器中,进行如下反应:

A(g)+2B(g) C(g)+D(g),在不同温度下,D的物质的量n(D)和时间t的关系如图。

请回答下列问题:

(1)700℃时,0~5min内,以B表示的平均反应速率为_________。

(2)能判断反应达到化学平衡状态的依据是__________。

A.容器中压强不变     

B.混合气体中c(A)不变

C.v(B)=2v(D)      

D.c(A)=c(C)

(3)若最初加入1.0 mol A和2.2 mol B,利用图中数据计算800℃时的A的转化率    

(4)800℃时,某时刻测得体系中物质的量浓度如下:

c(A)=0.06 mol/L,c(B)=0.50 mol/L,c(C)=0.20 mol/L,c(D)=0.018 mol/L,则此时该反应                 (填“向正方向进行”、“向逆方向进行”或“处于平衡状态”)。

查看答案和解析>>

科目:高中化学 来源: 题型:


利用生活中常见的材料可以进行很多科学实验,下图就是一个用废旧材料制作的可用于驱动玩具的电池示意图。当电池工作时,有关说法正确的是( )

A.铝罐将逐渐被腐蚀

B.该电池驱动电动玩具时,石墨棒应与玩具电机的负极相连

C.石墨棒上发生的反应为:O2-4e+2H2O== 4OH

D.该电池工作一段时间后石墨棒的质量会减轻

查看答案和解析>>

同步练习册答案