精英家教网 > 高中化学 > 题目详情
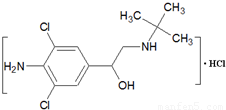
已知瘦肉精(盐酸克伦特罗)的结构简式如图,下列有关说法不正确的是( )

A.处于同一平面上的原子最多有10个
B.瘦肉精属于芳香族化合物
C.瘦肉精一定条件下能发生消去反应
D.瘦肉精的化学式为C12H19Cl3N2O
【答案】分析:A、根据苯环、乙烯、乙炔等基础物质的共面和共线知识来分析;
B、含有苯环的化合物属于芳香族化合物;
C、醇羟基、卤素原子相连碳原子的临位碳上含有氢原子时,可以发生消去反应;
D、根据结构简式书写分子式.
解答:解:A、瘦肉精结构简式可以看出含有苯环的基本结构,所以处于同一平面上的原子至少12个,故A错误;
B、瘦肉精是含有苯环的化合物,属于芳香族化合物,故B正确;
C、瘦肉精中的醇羟基相连碳原子的临位碳上含有氢原子,可以发生消去反应,故C正确;
D、根据结构简式书写分子式为:C12H19Cl3N2O,故D正确.
故选A.
点评:有机物的结构决定性质,熟记官能团所具有的性质是解题的关键,可以根据所学知识进行回答,难度不大.
练习册系列答案
相关习题

科目:高中化学 来源: 题型:

已知瘦肉精(盐酸克伦特罗)的结构简式为下列有关说法不正确的是(  )

查看答案和解析>>

科目:高中化学 来源: 题型:

(2011?武昌区模拟)已知瘦肉精(盐酸克伦特罗)的结构简式如图,下列有关说法不正确的是(  )

查看答案和解析>>

科目:高中化学 来源:2012届广西南宁沛鸿民族中学高二下学期期中考试化学试卷 题型:选择题

已知瘦肉精(盐酸克伦特罗)的结构简式为:

下列有关说法不正确的是

A.瘦肉精的化学式为C12H19Cl3N2O       B.瘦肉精属于芳香族化合物

C.瘦肉精一定条件下能发生消去反应     D.处于同一平面上的原子最多有10个

 

查看答案和解析>>

科目:高中化学 来源:武昌区模拟 题型:单选题

已知瘦肉精(盐酸克伦特罗)的结构简式如图,下列有关说法不正确的是(  )
A.处于同一平面上的原子最多有10个
B.瘦肉精属于芳香族化合物
C.瘦肉精一定条件下能发生消去反应
D.瘦肉精的化学式为C12H19Cl3N2O
精英家教网

查看答案和解析>>

科目:高中化学 来源:2009年浙江省绍兴中学高考化学模拟试卷(解析版) 题型:选择题

已知瘦肉精(盐酸克伦特罗)的结构简式为下列有关说法不正确的是( )
A.瘦肉精的化学式为C12H19Cl3N2O
B.瘦肉精属于芳香族化合物
C.瘦肉精一定条件下能发生消去反应
D.处于同一平面上的原子最多有10个

查看答案和解析>>

同步练习册答案