精英家教网 > 高中化学 > 题目详情

(7分)双酚A工业上用来生产聚碳酸酯防碎塑料,欧盟认为含双酚A奶瓶会诱发性早熟,从2011年3月2日起,禁止含生产化学物质双酚A(BPA)的婴儿奶瓶。工业上用双酚A

请回答:
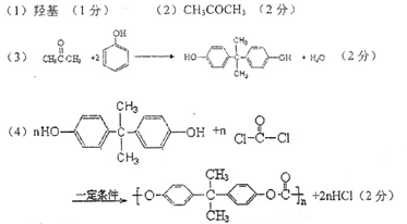
(1)双酚A中含氧官能团名称为         
(2)有机物X为含氧的衍生物,其中含氧的质量分数为27.6%,经测定X的蒸气密度是同温同压下氢气的29倍,核磁共振氢氢谱中只有1种峰,则X的结构简式为        
(3)写出苯酚与X反应制取双酚A的化学方程式          
(4)若反应时双酚A跟的物质的量之比为1:1,写出生成聚碳酸酯的化学方程式     

练习册系列答案
相关习题

科目:高中化学 来源: 题型:

(2012?杭州一模)双酚A工业上用来生产聚碳酸酯防碎塑料,欧盟认为含双酚A奶瓶会诱发性早熟,从2011年3月2日起,禁止含生产化学物质双酚A(BPA)的婴儿奶瓶.工业上用双酚A


请回答:
(1)双酚A中含氧官能团名称为
羟基
羟基

(2)有机物X为含氧的衍生物,其中含氧的质量分数为27.6%,经测定X的蒸气密度是同温同压下氢气的29倍,核磁共振氢氢谱中只有1种峰,则X的结构简式为
CH3COCH3
CH3COCH3

(3)写出苯酚与X反应制取双酚A的化学方程式

(4)若反应时双酚A跟的物质的量之比为1:1,写出生成聚碳酸酯的化学方程式

查看答案和解析>>

科目:高中化学 来源: 题型:

双酚A,也称BPA,用来生产防碎塑料--聚碳酸酯,可以由苯酚和丙酮在酸性介质中反应制得,其结构如图.每年,全世界生产2700万吨含有BPA的塑料.最近,欧盟认为含双酚A奶瓶会
诱发性早熟,从2011年3月2日起,禁止含生产化学物质双酚A(BPA)的婴儿奶瓶.下列说法关于双酚A的叙述不正确的是(  )

查看答案和解析>>

科目:高中化学 来源:杭州一模 题型:问答题

双酚A工业上用来生产聚碳酸酯防碎塑料,欧盟认为含双酚A奶瓶会诱发性早熟,从2011年3月2日起,禁止含生产化学物质双酚A(BPA)的婴儿奶瓶.工业上用双酚A

精英家教网

精英家教网


精英家教网

请回答:
(1)双酚A中含氧官能团名称为______.
(2)有机物X为含氧的衍生物,其中含氧的质量分数为27.6%,经测定X的蒸气密度是同温同压下氢气的29倍,核磁共振氢氢谱中只有1种峰,则X的结构简式为______.
(3)写出苯酚与X反应制取双酚A的化学方程式______.
(4)若反应时双酚A跟
精英家教网
的物质的量之比为1:1,写出生成聚碳酸酯的化学方程式______.

查看答案和解析>>

科目:高中化学 来源:2012年浙江省杭州市高考化学一模试卷(解析版) 题型:填空题

双酚A工业上用来生产聚碳酸酯防碎塑料,欧盟认为含双酚A奶瓶会诱发性早熟,从2011年3月2日起,禁止含生产化学物质双酚A(BPA)的婴儿奶瓶.工业上用双酚A


请回答:
(1)双酚A中含氧官能团名称为   
(2)有机物X为含氧的衍生物,其中含氧的质量分数为27.6%,经测定X的蒸气密度是同温同压下氢气的29倍,核磁共振氢氢谱中只有1种峰,则X的结构简式为   
(3)写出苯酚与X反应制取双酚A的化学方程式   
(4)若反应时双酚A跟的物质的量之比为1:1,写出生成聚碳酸酯的化学方程式   

查看答案和解析>>

同步练习册答案