精英家教网 > 高中化学 > 题目详情

(7分)地球表面约70%以上是海洋,全球约95%的生物物种在海洋中,由此可见海洋拥有极其丰富的天然资源,是有待开发的天然宝库。从某种海洋微生物中分离得到具有生理活性的有机化合物A,用质谱法和元素分析法测得A的化学式为C15H28O4。在苯溶液中,A可与等物质的量的Pb(OAc)4反应,生成物经酸水解得乙醛酸和另一化合物B。B遇热失去一分子水得化合物C。将C与KMnO4溶液共热得草酸和十一酸。

1.请写出化合物A、B和C的结构式。

2.A可能存在多少种光学异构体?

3.已测得化合物B为S一构型,请写出化合物A最稳定的构象式。

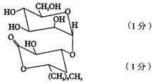
4.写出A的3-羟基与D-甘露糖形成的α-单糖苷的构象式。D-甘露糖的结构式如下:

每个1分

2.存在23=8个光学异构体(1分)

3.最稳定的构象式:(1分)

以椅式表示,3个取代基均应处于平伏键(e键),其中2位烃基为S-构型,3位烃基为R-构型。

4.

练习册系列答案
相关习题

同步练习册答案