精英家教网 > 高中化学 > 题目详情

下表为元素周期表的短周期部分。请填空。(注意:答题时,各元素均用推断出的元素符号表示。)

 
 
 
 
 
 
 
 
 
 
 
A
D
 
E
 
 
 
G
 
 
J
L
 
 
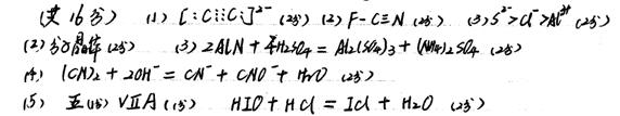
(1)写出A22- 的电子式               ,分子EAD 的结构式                    
G、J、L三种元素形成的简单离子中,半径由大到小的顺序是___       _______。(用离子符号表示)
(2)A元素可形成化合物Fe(AO)5,该物质常温下呈液态,熔点为-20.5℃,沸点为103℃,易溶于非极性溶剂,据此可判断Fe(AO)5晶体属于             (填晶体类型)。
(3)化合物GD在一定条件下与足量的J的最高价氧化物对应水化物发生反应,写出该反应的化学方程式                                          
(4)L2 与 (AD)2化学性质相似,写出 (AD)2 与 NaOH溶液反应的离子方程式                                                       
(5) M与E同主族且比E多三个电子层,M位于元素周期表第______周期______族,有研究显示HMO具有两性,则HMO与盐酸反应化学方程式为
                                              _。

练习册系列答案
相关习题

科目:高中化学 来源:2010年上海徐汇区第二学期高三学习能力诊断卷(化学学科) 题型:填空题

下表为元素周期表的短周期部分。请填空。

 
 
 
 
 
 
 
 
 
 
 
A
D
 
E
 
 
 
G
 
 
J
L
 
(1)写出A原子的最外层电子的轨道表示式          ,G、J、L三种元素形成的简单离子中,离子半径最小的是__________;
(2)A元素可形成化合物Fe(AO)5,该物质常温下呈液态,熔点为-20.5℃,沸点为103℃,易溶于非极性溶剂,据此可判断Fe(AO)5晶体属于             (填晶体类型);
(3)将D元素的气态氢化物通入稀硫酸中,写出反应的离子方程式_____________________;
(4)M与E同主族且核外电子比E多三个电子层,M位于元素周期表_______周期______族,有研究显示HMO具有两性,则HMO与盐酸反应化学方程式为_________________。

查看答案和解析>>

科目:高中化学 来源: 题型:

下表为元素周期表的短周期部分。请填空。

A

D

E

G

J

L

(1)写出A原子的最外层电子的轨道表示式           ,G、J、L三种元素形成的简单离子中,离子半径最小的是__________;

(2)A元素可形成化合物Fe(AO)5,该物质常温下呈液态,熔点为-20.5℃,沸点为103℃,易溶于非极性溶剂,据此可判断Fe(AO)5晶体属于              (填晶体类型);

(3)将D元素的气态氢化物通入稀硫酸中,写出反应的离子方程式_____________________;

(4)M与E同主族且核外电子比E多三个电子层,M位于元素周期表_______周期______族,有研究显示HMO具有两性,则HMO与盐酸反应化学方程式为_________________。

查看答案和解析>>

科目:高中化学 来源: 题型:

 下表为元素周期表的短周期部分。请填空。

 

 

 

 

 

 

 

 

 

 

 

A

D

 

E

 

 

 

G

 

 

J

L

 

(1)写出A原子的最外层电子的轨道表示式          ,G、J、L三种元素形成的简单离子中,离子半径最小的是__________;

(2)A元素可形成化合物Fe(AO)5,该物质常温下呈液态,熔点为-20.5℃,沸点为103℃,易溶于非极性溶剂,据此可判断Fe(AO)5晶体属于             (填晶体类型);

(3)将D元素的气态氢化物通入稀硫酸中,写出反应的离子方程式_____________________;

(4)M与E同主族且核外电子比E多三个电子层,M位于元素周期表_______周期______族,有研究显示HMO具有两性,则HMO与盐酸反应化学方程式为_________________。

 

 

查看答案和解析>>

科目:高中化学 来源:上海徐汇区2010高三4月模拟考试 题型:填空题

 下表为元素周期表的短周期部分。请填空。

 

 

 

 

 

 

 

 

 

 

 

A

D

 

E

 

 

 

G

 

 

J

L

 

(1)写出A原子的最外层电子的轨道表示式           ,G、J、L三种元素形成的简单离子中,离子半径最小的是__________;

(2)A元素可形成化合物Fe(AO)5,该物质常温下呈液态,熔点为-20.5℃,沸点为103℃,易溶于非极性溶剂,据此可判断Fe(AO)5晶体属于              (填晶体类型);

(3)将D元素的气态氢化物通入稀硫酸中,写出反应的离子方程式_____________________;

(4)M与E同主族且核外电子比E多三个电子层,M位于元素周期表_______周期______族,有研究显示HMO具有两性,则HMO与盐酸反应化学方程式为_________________。

 

 

查看答案和解析>>

科目:高中化学 来源: 题型:

下表为元素周期表的短周期部分。请填空。(注意:答题时,各元素均用推断出的元素符号表示。)

A

D

E

G

J

L

(1)写出A22- 的电子式                ,分子EAD 的结构式                    

G、J、L三种元素形成的简单离子中,半径由大到小的顺序是___        _______。(用离子符号表示)

(2)A元素可形成化合物Fe(AO)5,该物质常温下呈液态,熔点为-20.5℃,沸点为103℃,易溶于非极性溶剂,据此可判断Fe(AO)5晶体属于              (填晶体类型)。

(3)化合物GD在一定条件下与足量的J的最高价氧化物对应水化物发生反应,写出该反应的化学方程式                                          

(4)L2 与 (AD)2 化学性质相似,写出 (AD)2 与 NaOH溶液反应的离子方程式                                                        

(5) M与E同主族且比E多三个电子层,M位于元素周期表第______周期______族,有研究显示HMO具有两性,则HMO与盐酸反应化学方程式为

                                               _。

查看答案和解析>>

同步练习册答案