精英家教网 > 高中化学 > 题目详情

某校化学实验活动小组通过实验来探究一包黑色粉末是氧化铜、氧化亚铁或二者的混合物,探究过程如下:

(1)提出假设。

假设1:黑色粉末是FeO。

假设2:黑色粉末是________(写化学式)。

假设3:黑色粉末是FeO和CuO的混合物。

(2)设计探究实验。

实验小组选用稀硫酸、氯水、硫氰化钾溶液做试剂进行实验,请将实验操作步骤及现象填入下表。

实验方法步骤

现象

结论

取少量粉末加入足量稀硫酸

假设1成立

假设2成立

假设3成立

(3)查阅资料得知,通过调节溶液的酸碱性可使Cu2、Fe2、Fe3分别生成沉淀的pH如下表:

物质

Cu(OH)2

Fe(OH)2

Fe(OH)3

开始沉淀pH

6.0

7.5

1.4

沉淀完全pH

13

14

3.7

若经过实验分析确定,该黑色物质为氧化铜和氧化亚铁的混合物,实验小组欲利用该黑色粉末制取较纯净的硫酸铜,设计如下实验方案:

请回答:试剂1是________(填化学式)溶液;加入试剂2的目的是调节溶液的pH,该物质是________(填名称),将溶液pH调节到________(填范围);操作1的名称是________。


解析 (1)根据假设1和假设3,可以推断假设2:黑色粉末是CuO。(3)根据Cu2、Fe2和Fe3开始沉淀和完全沉淀的pH可知,pH在7.5~13之间,有Cu(OH)2和Fe(OH)2存在,两者不易分离,因此要将Fe2氧化为Fe3,试剂1为H2O2溶液,加入试剂2的目的是调节溶液的pH,选择氧化铜(或氢氧化铜或碱式碳酸铜),调节pH在3.7~6.0之间,Fe3完全沉淀,而Cu2还未开始沉淀,即可分离出Fe3,得到CuSO4溶液,操作1为加热浓缩、冷却结晶。

答案 (1)CuO

(2)

(3)H2O2 氧化铜(或氢氧化铜或碱式碳酸铜)

3.7~6.0 加热浓缩、冷却结晶


练习册系列答案
相关习题

科目:高中化学 来源: 题型:


常温下,甲组中的某种物质能与乙组中的所有物质发生反应,甲组中的该物质是 (   )

甲组

①Al(OH)3    ②SiO2    ③  FeCl3溶液    ④ SO2

乙组

a.NaOH溶液   b.浓HNO3   c.氨水    d.氯水   e.H2O2溶液

A.①          B.②           C.③           D.④

查看答案和解析>>

科目:高中化学 来源: 题型:


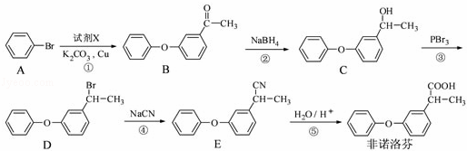
非诺洛芬是一种治疗类风湿性关节炎的药物,可通过以下方法合成:

请回答下列问题:

(1)非诺洛芬中的含氧官能团为    (填名称).

(2)反应①中加入的试剂X的分子式为C8H8O2,X的结构简式为  

(3)在上述五步反应中,属于取代反应的是  (填序号).

(4)B的一种同分异构体满足下列条件:

Ⅰ、能发生银镜反应,其水解产物之一能与FeCl3溶液发生显色反应.

Ⅱ、分子中有6种不同化学环境的氢,且分子中含有两个苯环.

写出该同分异构体的结构简式:  

(5)根据已有知识并结合相关信息,写出以为原料制备的合成路线流程图(无机试剂任用),合成路线路程图示例如下:

CH3CH2BrCH3CH2OHCH3COOCH2CH3

查看答案和解析>>

科目:高中化学 来源: 题型:


现有原子序数依次相差1,且由小到大排列的A、B、C、D、E五种短周期元素。下列有关这五种元素的叙述正确的是(  )

①若A的最高价氧化物对应的水化物是强碱,则E的最高价氧化物对应的水化物是强酸

②若A的单质既能与强酸又能与强碱反应且都放出氢气,则这五种元素在同一周期

③若A的阳离子比E的阴离子少8个电子,则D一定是非金属元素

④若D的最高价氧化物对应的水化物是强酸,则E的单质在常温下为气态

⑤这五种原子的原子半径关系一定为:A>B>C>D>E

A.②③④  B.①②③

C.③④⑤  D.②④⑤

查看答案和解析>>

科目:高中化学 来源: 题型:


实验室制备下列气体时,所用方法正确的是(  )

A.制氧气时,用Na2O2或H2O2作反应物可选择相同的气体发生装置

B.制氯气时,用饱和NaHCO3溶液和浓硫酸净化气体

C.制乙烯时,用排水法或向上排空气法收集气体

D.制二氧化氮时,用水或NaOH溶液吸收尾气

查看答案和解析>>

科目:高中化学 来源: 题型:


下列事实与平衡移动无关的是

A.实验室排饱和盐水收集氧气       B.打开汽水瓶后,瓶中马上泛起大量气泡

C.热纯碱溶液去油污能力更强       D.NH4Cl(s) NH3(g)+HCl(g)

查看答案和解析>>

科目:高中化学 来源: 题型:


在2 L密闭容器内,800 ℃时反应2NO(g)+O2(g)2NO2(g)体系中,n(NO)随时间的变化如表:

时间(s)

0

1

2

3

4

5

n(NO)(mol)

0.020

0.010

0.008

0.007

0.007

0.007

(1)上述反应________(填“是”或“不是”)可逆反应,在第5 s时,NO的转化率为________。

(2)如图所示,表示NO2变化曲线的是________。用O2表示从0 s~2 s内该反应的平均速率v=________________。

(3)能说明该反应已达到平衡状态的是________。

a.v(NO2)=2v(O2)              b.容器内压强保持不变

cv(NO)=2v(O2)             d.容器内密度保持不变

查看答案和解析>>

科目:高中化学 来源: 题型:


可逆反应A(g)+B(g) C(g)+D(g)。判断该反应是否达到平衡的依据为__________(填正确选项前的字母):

a.压强不随时间改变

b.气体的密度不随时间改变

c.c(A)不随时间改变

d.单位时间里生成C和D的物质的量相等

查看答案和解析>>

科目:高中化学 来源: 题型:


在一定温度下的定容密闭容器中,当物质的下列物理量不再变化时,不能说明反应

A(s)+2B(g) C(g)+D(g)已达平衡状态的是                    (  )

A.混合气体的压强

B.混合气体的密度

C.B的物质的量浓度

D.气体的平均相对分子质量

查看答案和解析>>

同步练习册答案