精英家教网 > 高中化学 > 题目详情

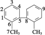
已知C-C键可以绕键轴自由旋转,结构简式为的烃,下列说法中正确的是

[  ]

A.

分子中至少有8个碳原子处于同一平面上

B.

分子中至少有9个碳原子处于同一平面上

C.

该烃的一氯取代物最多有4种

D.

该烃是苯的同系物

答案:B
解析:

  该烃中如图上9个碳原子一定位于同一平面内.

  该烃的一氯取代物最多有5种.


练习册系列答案
相关习题

科目:高中化学 来源:选修高手化学人教·有机化学基础 人教版 题型:013

已知C-C键可以绕键轴自由旋转,结构简式为的烃,下列说法中正确的是

[  ]

A.

分子中至少有8个碳原子处于同一平面上

B.

分子中至少有9个碳原子处于同一平面上

C.

该烃的一氯取代物最多有4种

D.

该烃是苯的同系物

查看答案和解析>>

科目:高中化学 来源:辽宁省凤城市通远堡高中2009-2010学年高二4月月考化学试题 题型:013

已知C-C键可以绕键轴自由旋转,对于结构简式为:的烃,下列说法正确的是

[  ]

A.

该烃属于苯的同系物

B.

分子中至少有9个碳原子处于同一平面上

C.

分子中至少有11个碳原子处于同一平面上

D.

分子中至少有16个碳原子处于同一平面上

查看答案和解析>>

科目:高中化学 来源:2010年湖北省高一下学期期末考试化学试卷 题型:选择题

已知C-C键可以绕键轴旋转,结构简式为的烃,下列说法正确的是

                                                                                                                              (  )

A、分子中至少有8个碳原子处于同一平面上

B、分子中至少有9个碳原子处于同一平面上

C、该烃的一氯取代物最多有4种

D、该烃是苯的同系物

 

查看答案和解析>>

科目:高中化学 来源: 题型:

已知C-C键可以绕键轴自由旋转,结构简式为的烃,下列说法中正确的是

A  分子中至少有9个碳原子处于同一平面上

B  分子中至少有10个碳原子处于同一平面上

C  分子中至少有11个碳原子处于同一平面上

D  该烃属于苯的同系物

查看答案和解析>>

科目:高中化学 来源: 题型:

已知C-C键可以绕键轴旋转,结构简式为的烃,下列说法正确的是

                                          (  )

A、分子中至少有8个碳原子处于同一平面上

B、分子中至少有9个碳原子处于同一平面上

C、该烃的一氯取代物最多有4种

D、该烃是苯的同系物

查看答案和解析>>

同步练习册答案