相关习题
 0  16027  16035  16041  16045  16051  16053  16057  16063  16065  16071  16077  16081  16083  16087  16093  16095  16101  16105  16107  16111  16113  16117  16119  16121  16122  16123  16125  16126  16127  16129  16131  16135  16137  16141  16143  16147  16153  16155  16161  16165  16167  16171  16177  16183  16185  16191  16195  16197  16203  16207  16213  16221  203614 

科目: 来源: 题型:

(2010?徐汇区二模)已知,Fe2+结合S2-的能力大于结合OH-的能力,而Al3+则正好相反.在Fe2(SO43和AlCl3的混合溶液中,先加入过量的KI溶液,再加入足量的Na2S溶液,所得沉淀是(  )

查看答案和解析>>

科目: 来源: 题型:

(2010?徐汇区二模)在实验室进行下列实验,能达到实验目的是(  )

查看答案和解析>>

科目: 来源: 题型:

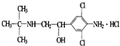
(2010?徐汇区二模)“瘦肉精”的结构可如图表示.下列关于“瘦肉精”的说法中正确的是(  )

查看答案和解析>>

科目: 来源: 题型:

(2010?徐汇区二模)设阿伏伽德罗常数的数值为NA,下列说法错误的是(  )

查看答案和解析>>

科目: 来源: 题型:

(2010?徐汇区二模)关于金属的腐蚀与防护,下列叙述正确的是(  )

查看答案和解析>>

科目: 来源: 题型:

(2010?徐汇区二模)比较氯元素和硫元素的非金属性的相对强弱,下列方案中不能达到目的是(  )

查看答案和解析>>

科目: 来源: 题型:

(2010?徐汇区二模)某溶液中加入铝粉能产生氢气,在该溶液中一定不能大量共存的离子组是(  )

查看答案和解析>>

科目: 来源: 题型:

(2010?徐汇区二模)可用如图装置制取和收集的气体是(  )

查看答案和解析>>

科目: 来源: 题型:

(2010?徐汇区二模)用酒精灯加热蒸干下列物质的溶液然后灼烧,可以得到该物质固体的是(  )

查看答案和解析>>

科目: 来源: 题型:

(2010?徐汇区二模)以下性质的比较中,正确的是(  )

查看答案和解析>>

同步练习册答案