精英家教网 > 高中数学 > 题目详情
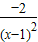
设曲线在点(3,2)处的切线的斜率为( )
A.2
B.
C.
D.-2
【答案】分析:经过判断发现点(3,2)在曲线上,所以此点为切点,求出曲线方程的导函数,把切点的横坐标代入导函数中求出的函数值即为曲线方程的斜率.
解答:解:显然(3,2)在曲线上,
,求出y′=
把x=3代入得:y′|x=3=-,即曲线方程的斜率为-
故选C
点评:此题考查学生会利用导数求曲线上过某点切线方程的斜率,是一道基础题.学生做题时注意判断已知点是否在曲线上,如果在的话此点即为切点.
练习册系列答案
相关习题

科目:高中数学 来源:2012-2013学年河北省永年二中涉县一中临漳一中高三联考理科数学试卷(解析版) 题型:选择题

设曲线在点(3,2)处的切线与直线垂直,则a=(   )

   A.2             B.-2              C.-            D.

 

查看答案和解析>>

科目:高中数学 来源:2011-2012学年河南省卢氏一高高三上学期期末调研考试理科数学试卷(解析版) 题型:选择题

 设曲线在点(3,2)处的切线与直线垂直,则   

A.2                  B.                C.                   D.

 

查看答案和解析>>

科目:高中数学 来源:2011-2012学年山东省高三上学期期末理科数学试卷 题型:选择题

设曲线在点(3,2)处的切线与直线垂直,则   

A.2                  B.                C.                   D.

 

查看答案和解析>>

科目:高中数学 来源:2012年广东省华南师大附中高三周六自测数学试卷3(文科)(解析版) 题型:选择题

设曲线在点(3,2)处的切线与直线ax+y+1=0垂直,则a=( )
A.2
B.
C.
D.-2

查看答案和解析>>

科目:高中数学 来源:广东省高考数学一轮复习:4.1 导数的概念及其运算(解析版) 题型:选择题

设曲线在点(3,2)处的切线与直线ax+y+1=0垂直,则a=( )
A.2
B.
C.
D.-2

查看答案和解析>>

同步练习册答案