精英家教网 > 高中数学 > 题目详情

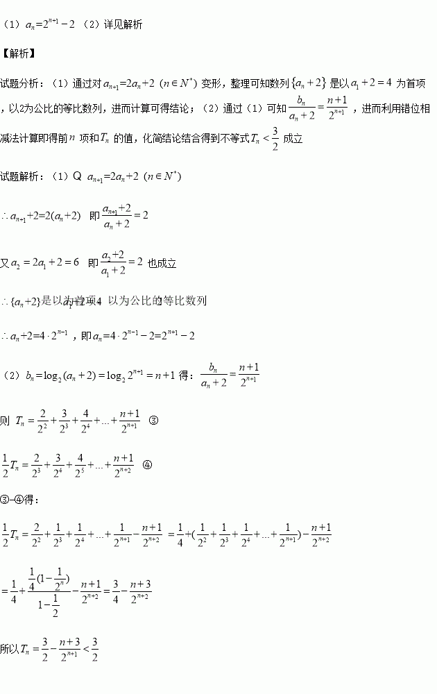
已知数列满足,

(1)求数列的通项公式

(2)若数列是数列的前项和,求证:

练习册系列答案
相关习题

科目:高中数学 来源:2015-2016学年四川成都市六校高二上学期期中联考理科数学试卷(解析版) 题型:选择题

是互不相同的空间直线,α、β是不重合的平面,则下列结论正确的是

A.

B.

C.

D.

查看答案和解析>>

科目:高中数学 来源:2016届湖南省常德市高三上第五次月考文科数学试卷(解析版) 题型:选择题

已知集合,则( )

A. B.

C. D.

查看答案和解析>>

科目:高中数学 来源:2015-2016学年湖南师大附中高二上学期第三次检测数学卷(解析版) 题型:选择题

已知集合,且,则( )

A. B. C. D.

查看答案和解析>>

科目:高中数学 来源:2015-2016学年云南省蒙自市高二10月月考文科数学试卷(解析版) 题型:解答题

已知数列满足,

(1)求证:数列是等比数列,并求出通项公式

(2)若数列是数列的前项和,求证:

查看答案和解析>>

科目:高中数学 来源:2015-2016学年云南省蒙自市高二10月月考理科数学试卷(解析版) 题型:选择题

已知是三角形的内角,且,则等于

A. B. C. D.

查看答案和解析>>

科目:高中数学 来源:2015-2016学年四川省雅安市高二11月月考理科数学试卷(解析版) 题型:解答题

已知两直线.试确定的值,使

(1)相交于点

(2)

(3),且轴上的截距为-1.

查看答案和解析>>

科目:高中数学 来源:2015-2016学年江苏省南通市高二上学期期中考试数学试卷(解析版) 题型:填空题

若圆上至少有三个不同的点到直线的距离为,则该直线的斜率的范围是_______________________.

查看答案和解析>>

科目:高中数学 来源:2015-2016学年福建三明一中高二上第二次月考理科数学卷(解析版) 题型:选择题

已知函数的导函数为,且满足,则( )

A. B. C. D.

查看答案和解析>>

同步练习册答案