精英家教网 > 高中数学 > 题目详情

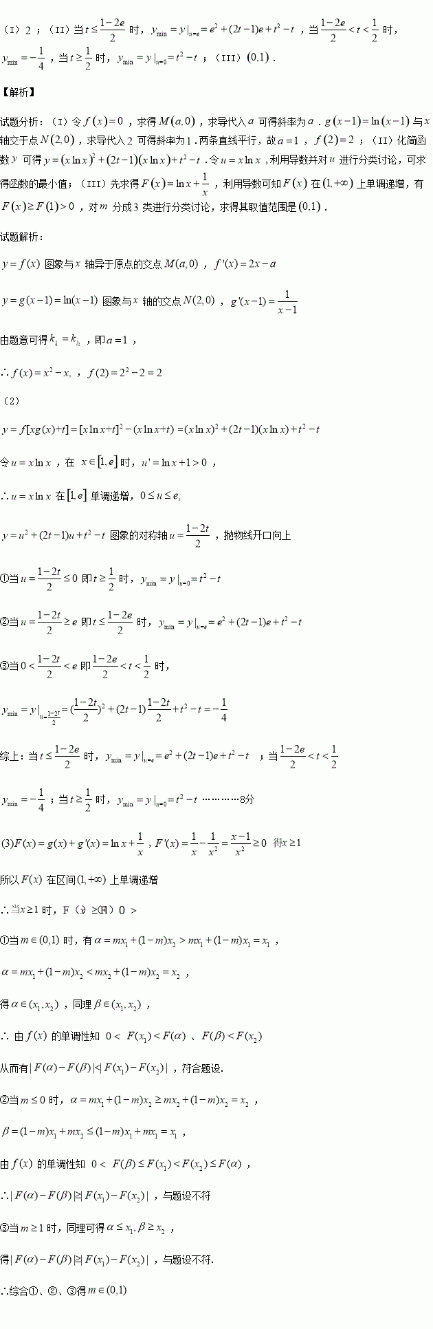
已知函数图象与轴交于点异于原点),处的切线为图象与轴交于点且在该点处的切线为,并且平行.

(Ⅰ)求的值;

(Ⅱ)已知实数,求函数的最小值;

(Ⅲ)令,给定,对于两个大于1的正数,存在实数满足:,并且使得不等式恒成立,求实数的取值范围.

练习册系列答案
相关习题

科目:高中数学 来源:2016-2017学年河北枣强中学高一上学期月考一数学试卷(解析版) 题型:解答题

定义在上的函数,当时,,对任意的都有,且对任意的,恒有.

(1)求

(2)证明:函数上是增函数;

(3)若,求的取值范围.

查看答案和解析>>

科目:高中数学 来源:2017届河北衡水中学高三上学期第二次调研数学(理)试卷(解析版) 题型:选择题

动点满足,点为原点,,则的最大值是( )

A. B. C. D.

查看答案和解析>>

科目:高中数学 来源:2017届河北衡水中学高三上学期第二次调研数学(文)试卷(解析版) 题型:选择题

已知函数是定义域为的偶函数,当,时,,若关于的方程有且仅有个不同的实数根,则实数的取值范围是( )

A. B.

C. D.

查看答案和解析>>

科目:高中数学 来源:2017届河北衡水中学高三上学期第二次调研数学(文)试卷(解析版) 题型:选择题

已知数列为等差数列,满足,其中在一条直线上,为直线外一点,记数列的前项和为,则的值为( )

A. B. C. D.

查看答案和解析>>

科目:高中数学 来源:2017届湖北黄冈中学高三上学期周末测试9.10数学试卷(解析版) 题型:解答题

设命题命题,如果命题“p或q”是真命题,命题“p且q”是假命题,求实数a的取值范围.

查看答案和解析>>

科目:高中数学 来源:2017届湖北黄冈中学高三上学期周末测试9.10数学试卷(解析版) 题型:选择题

已知F是椭圆C:(a>b>0)的右焦点,点P在椭圆C上,线段PF与圆相切于点Q,且,则椭圆C的离心率等于( )

A. B. C. D.

查看答案和解析>>

科目:高中数学 来源:2017届湖北黄冈中学高三上学期周末测试数学试卷(解析版) 题型:填空题

已知变量满足不等式组,则的取值范围为 .

查看答案和解析>>

科目:高中数学 来源:2016届新疆乌鲁木齐八一中学高三上学期月考一数学(理)试卷(解析版) 题型:解答题

已知角A、B、C为△ABC的三个内角,其对边分别为a、b、c,若,a=2,且

(1)若△ABC的面积S=,求b+c的值.

(2)求b+c的取值范围.

查看答案和解析>>

同步练习册答案