精英家教网 > 高中数学 > 题目详情
如图,已知椭圆的长轴A1A2与x轴平行,短轴B1B2在y轴上,中心M(0,r)(b>r>0
(Ⅰ)写出椭圆方程并求出焦点坐标和离心率;
(Ⅱ)设直线y=k1x与椭圆交于C(x1,y1),D(x2,y2)(y2>0),直线y=k2x与椭圆交于G(x3,y3),H(x4,y4)(y4>0).求证:
(Ⅲ)对于(Ⅱ)中的在C,D,G,H,设CH交x轴于P点,GD交x轴于Q点,
求证:|OP|=|OQ|(证明过程不考虑CH或GD垂直于x轴的情形)
(Ⅰ)解:∵椭圆的长轴A1A2与x轴平行,短轴B1B2在y轴上,中心M(0,r),
∴椭圆方程为
焦点坐标为
离心率
(Ⅱ)证明:将直线CD的方程y=k1x代入椭圆方程

整理得
根据韦达定理,得
所以  
将直线GH的方程y=k2x代入椭圆方程
同理可得
由 ①、②得   =
所以结论成立
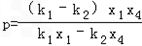
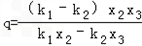
(Ⅲ)证明:设点P(p,0),点Q(q,0)
由C、P、H共线,得  
解得  
由D、Q、G共线,同理可得  

=变形得=
所以|p|=|q|
即|OP|=|OQ|
练习册系列答案
相关习题

科目:高中数学 来源: 题型:

(2003•北京)如图,已知椭圆的长轴A1A2与x轴平行,短轴B1B2在y轴上,中心M(0,r)(b>r>0
(Ⅰ)写出椭圆方程并求出焦点坐标和离心率;
(Ⅱ)设直线y=k1x与椭圆交于C(x1,y1),D(x2,y2)(y2>0),直线y=k2x与椭圆次于G(x3,y3),H(x4,y4)(y4>0).求证:
k1x1x2
x1+x2
=
k1x3x4
x3+x4

(Ⅲ)对于(Ⅱ)中的在C,D,G,H,设CH交x轴于P点,GD交x轴于Q点,求证:|OP|=|OQ|
(证明过程不考虑CH或GD垂直于x轴的情形)

查看答案和解析>>

科目:高中数学 来源: 题型:

(03年北京卷理)(15分)

如图,已知椭圆的长轴轴平行,短轴轴上,中心

(Ⅰ)写出椭圆方程并求出焦点坐标和离心率;

(Ⅱ)设直线与椭圆交于),直线与椭圆次于).求证:

(Ⅲ)对于(Ⅱ)中的在,设轴于点,轴于点,求证:(证明过程不考虑垂直于轴的情形)

 

查看答案和解析>>

科目:高中数学 来源: 题型:

如图,已知椭圆的长轴,离心率为坐标原点,过的直线轴垂直,是椭圆上异于的任意一点,为垂足,延长,使得,连接并延长交直线的中点

(1)求椭圆方程并证明点在以为直径的圆

(2)试判断直线与圆的位置关系

 


查看答案和解析>>

科目:高中数学 来源:2012-2013学年黑龙江高三上期末考试文科数学试卷(解析版) 题型:解答题

(本小题满分12分)如图,已知椭圆的长轴为,过点的直线轴垂直,直线所经过的定点恰好是椭圆的一个顶点,且椭圆的离心率

(1)求椭圆的标准方程;

(2)设是椭圆上异于的任意一点,轴,为垂足,延长到点使得,连接并延长交直线于点的中点.试判断直线与以为直径的圆的位置关系.

 

查看答案和解析>>

科目:高中数学 来源:2011-2012学年黑龙江省哈尔滨市高三第一次模拟考试理科数学试卷(解析版) 题型:解答题

(本题满分12分)

如图,已知椭圆的长轴为,过点的直线轴垂直,直线所经过的定点恰好是椭圆的一个顶点,且椭圆的离心率

(1)求椭圆的标准方程;

(2)设是椭圆上异于的任意一点,轴,为垂足,延长到点使得,连接并延长交直线于点的中点.试判断直线与以为直径的圆的位置关系.

 

 

查看答案和解析>>

同步练习册答案