精英家教网 > 高中数学 > 题目详情

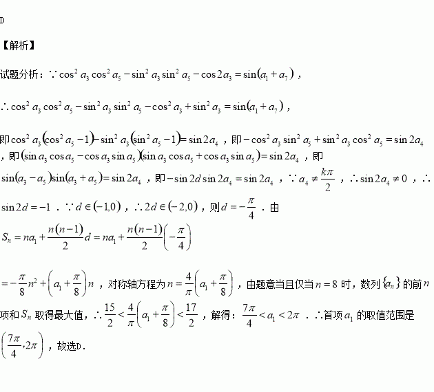
设等差数列满足:且公差. 若当且仅当时,数列的前项和取得最大值,则首项的取值范围是( )

A. B. C. D.

练习册系列答案
相关习题

科目:高中数学 来源:2015-2016学年辽宁东北育才学校高二下期中理科数学试卷(解析版) 题型:选择题

函数为自然对数的底数)的值域是实数集,则实数的取值范围是( )

A. B. C. D.

查看答案和解析>>

科目:高中数学 来源:2016届江苏省高三考前一周双练冲刺四数学试卷(解析版) 题型:解答题

,已知函数有两个零点,且.

(1)求的取值范围;

(2)证明:随着的增大而增大;

(3)证明:.

查看答案和解析>>

科目:高中数学 来源:2016届江苏省高三考前一周双练冲刺四数学试卷(解析版) 题型:填空题

已知复数满足(其中为虚数单位),则 .

查看答案和解析>>

科目:高中数学 来源:2015-2016学年四川彭州中学高一重点班5月月考数学试卷(解析版) 题型:解答题

已知向量=(1,2),=(-2,x).

(Ⅰ)当x=-1时,求向量的夹角的余弦值;

(Ⅱ)当)时,求||.

查看答案和解析>>

科目:高中数学 来源:2015-2016学年四川彭州中学高一重点班5月月考数学试卷(解析版) 题型:选择题

中,分别为角的对边,若,则的形状( )

A. 直角三角形 B. 等边三角形

C. 等腰三角形 D. 等腰直角三角形

查看答案和解析>>

科目:高中数学 来源:2015-2016学年河北武邑中学高一下4.17周考数学试卷(解析版) 题型:解答题

设函数的部分图象如图所示.

(1)求函数的解析式;

(2)当时,求的取值范围.

查看答案和解析>>

科目:高中数学 来源:2015-2016学年河北武邑中学高一下4.17周考数学试卷(解析版) 题型:选择题

已知,那么角是( )

A.第一或第二象限 B.第二或第三象限

C.第一或第四象限 D.第三或第四象限

查看答案和解析>>

科目:高中数学 来源:2015-2016学年重庆十八中高一下期中理科数学试卷(解析版) 题型:选择题

中,角所对的边分别为,若,则是( )

A.锐角三角形 B.直角三角形

C.钝角三角形 D.等腰三角形

查看答案和解析>>

同步练习册答案