精英家教网 > 高中数学 > 题目详情

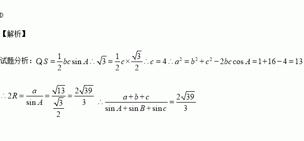
在三角形ABC中,已知A,b=1,其面积为,则为( )

A. B. C. D.

练习册系列答案
相关习题

科目:高中数学 来源:2016届四川省成都市高三11月段测三文科数学试卷(解析版) 题型:解答题

己知函数f(x)=lnx-ax+l,其中a∈R.

(1)求f(x)的单调区间;

(2)当a=1时,斜率为k的直线与函数f(x)的图像交于两点A(x1,y1),B(x2,y2),其中x1<x2,证明:

(3)是否存在k∈Z,使得f(x)+ax-2>k(1一)对任意x>l恒成立?若存在,请求出k的最大值;若不存在,请说明理由.

查看答案和解析>>

科目:高中数学 来源:2015-2016学年贵州遵义航天高中高二上学期期中数学试卷(解析版) 题型:填空题

表示三条不同的直线,表示平面,给出下列命题:

①若

②若

③若

其中真命题的序号是:_______ .

查看答案和解析>>

科目:高中数学 来源:2015-2016学年安徽师大附中高二上学期期中理科数学试卷(解析版) 题型:填空题

已知点P为抛物线上的动点,点P在x轴上的射影为M,点A的坐标是,则的最小值是______________.

查看答案和解析>>

科目:高中数学 来源:2015-2016学年四川省实验学校高二上学期期中理科数学试卷(解析版) 题型:选择题

在平面直角坐标系xOy中,圆C 的方程为,若直线上至少存在一点,使得以该点为圆心,半径为1的圆与圆C 有公共点,则k的最小值是( )

A. B. C. D.

查看答案和解析>>

科目:高中数学 来源:2015-2016学年辽宁省葫芦岛市高一上学期期中考试数学试卷(解析版) 题型:选择题

下列函数中,在区间(0,+∞)上是增函数的是( )

A. B.

C. D.

查看答案和解析>>

科目:高中数学 来源:2015-2016学年江西铅山一中 、横峰中学高二上学期期中理科数学卷(解析版) 题型:选择题

下面是两个变量的一组数据:

X

1

2

3

4

5

6

7

8

y

1

4

9

16

25

36

49

64

则这两个变量之间的线性回归方程是( )

A.y=-16+9x B.y=31-x C.y=30-x D.y=-15+9x

查看答案和解析>>

科目:高中数学 来源:2015-2016学年湖南省高二上学期期中文科数学试卷(解析版) 题型:解答题

已知函数f(x)=,若数列{an}(n∈N*)满足:a1=1,an+1=f(an).

(Ⅰ)证明数列{}为等差数列,并求数列{an}的通项公式;

(Ⅱ)设数列{cn}满足:cn=,求数列{cn}的前n项的和Sn.

查看答案和解析>>

科目:高中数学 来源:2015-2016学年湖南省高二上学期期中考试理科数学试卷(解析版) 题型:选择题

,则的最小值是( )

A.6 B.12 C.24 D.16

查看答案和解析>>

同步练习册答案