精英家教网 > 高中数学 > 题目详情

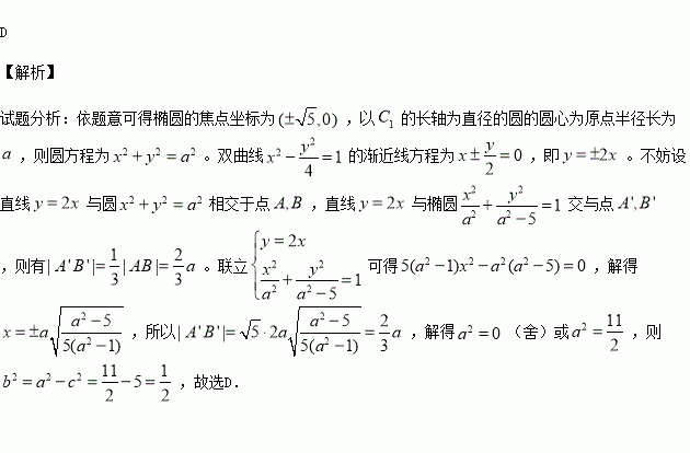
已知椭圆与双曲线有公共的焦点,的一条渐近线与以的长轴为直径的圆相交于两点.若恰好将线段三等分,则( )

A. B. C. D.

练习册系列答案
相关习题

科目:高中数学 来源:2015-2016学年江苏省高一上期中数学试卷(解析版) 题型:填空题

若方程内有一解,则

查看答案和解析>>

科目:高中数学 来源:2015-2016学年广西省高一上段考数学试卷(解析版) 题型:选择题

f(x)是定义在R上的奇函数,f(-3)=2,则下列各点在函数f(x)图象上的是( )

A.(3,-2) B.(3,2) C.(-3,-2) D.(2,-3)

查看答案和解析>>

科目:高中数学 来源:2015-2016学年山西省高二11月月考理科数学卷(解析版) 题型:填空题

如图,在长方形中,的四等分点(靠近处),为线段上一动点(包括端点),现将沿折起,使点在平面内的射影恰好落在边上,则当运动时,二面角的平面角余弦值的变化范围为_____.

查看答案和解析>>

科目:高中数学 来源:2015-2016学年河南省高一12月月考数学试卷(解析版) 题型:选择题

函数的图象如图所示,则下列结论成立的是( )

A.

B.

C.

D.

查看答案和解析>>

科目:高中数学 来源:2015-2016学年江西省高二上第三次文科数学试卷(解析版) 题型:选择题

已知中心在原点的椭圆与双曲线有公共焦点,且左右焦点分别为,两条曲线在第一象限的交点为是以为底边的等腰三角形.若,椭圆与双曲线的离心率分别为的取值范围是( )

A. B. C. D.

查看答案和解析>>

科目:高中数学 来源:2016届宁夏吴忠中学高三上学期第四次月考理科数学试卷(解析版) 题型:选择题

已知某几何体的三视图如图所示,则该几何体的体积为( )

A. B. C. D.

查看答案和解析>>

科目:高中数学 来源:2016届河北省邯郸市高三一轮考试二文科数学试卷(解析版) 题型:选择题

一个四棱锥的三视图如图所示,其侧视图是等边三角形,该四棱锥的体积等于( )

A. B. C. D.

查看答案和解析>>

科目:高中数学 来源:2015-2016学年湖南省、攸县一中高二上期中理科数学试卷(解析版) 题型:填空题

已知命题P:(1-x)(x+4),q:x2-6x+9-m2,若P是q的充分不必要条件,求m的取值范围。

查看答案和解析>>

同步练习册答案