精英家教网 > 高中数学 > 题目详情
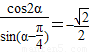
,则cosα+sinα的值为( )
A.
B.
C.
D.
【答案】分析:题目的条件和结论都是三角函数式,第一感觉是先整理条件,用二倍角公式和两角差的正弦公式,约分后恰好是要求的结论.
解答:解:∵

故选C
点评:本题解法巧妙,能解的原因是要密切注意各公式间的内在联系,熟练地掌握这些公式的正用、逆用以及某些公式变形后的应用.
练习册系列答案
相关习题

科目:高中数学 来源: 题型:

,则cosα+sinα的值为(    )

A.             B.              C.             D.

查看答案和解析>>

科目:高中数学 来源:2012-2013学年山东省济宁市汶上一中高三(上)期中数学试卷(理科)(解析版) 题型:选择题

函数f(x)=Asinωx的图象如图所示,若,则cosθ-sinθ的值为( )
A.
B.
C.
D.

查看答案和解析>>

科目:高中数学 来源:2012-2013学年山东省日照实验高中高三(上)期中数学试卷(理科)(解析版) 题型:选择题

函数f(x)=Asinωx的图象如图所示,若,则cosθ-sinθ的值为( )
A.
B.
C.
D.

查看答案和解析>>

科目:高中数学 来源:2012-2013学年山东省济宁市汶上一中高三(上)期中数学试卷(理科)(解析版) 题型:选择题

函数f(x)=Asinωx的图象如图所示,若,则cosθ-sinθ的值为( )
A.
B.
C.
D.

查看答案和解析>>

科目:高中数学 来源:2012年天津市河西区高考数学一模试卷(理科)(解析版) 题型:选择题

函数f(x)=Asinωx的图象如图所示,若,则cosθ-sinθ的值为( )
A.
B.
C.
D.

查看答案和解析>>

同步练习册答案