精英家教网 > 高中数学 > 题目详情
已知椭圆E的中心在原点,焦点在x轴上,椭圆上的点到焦点的距离的最小值为-1,离心率e=
(Ⅰ)求椭圆E的方程;
(Ⅱ)过点(1,0)作直线交E于P、Q两点,试问在x轴上是否存在一定点M,使为定值?若存在,求出定点M的坐标;若不存在,请说明理由.
解:(1)
∴所求椭圆E的方程为:
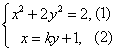
(2)当直线l不与x轴重合时,可设直线l的方程为:x=ky+1,

把(2)代入(1)整理得:,(3)

假设存在定点M(m,0),使得为定值,

=



当且仅当5-4m=0,即时,(为定值).这时
再验证当直线l的倾斜角α=0时的情形,此时取


∴存在定点使得对于经过(1,0)点的任意一条直线l 均有(恒为定值).
练习册系列答案
相关习题

科目:高中数学 来源: 题型:

已知椭圆E的中心在原点,焦点在x轴上,椭圆上的点到焦点的距离的最小值为
2
-1
,离心率e=
2
2

(Ⅰ)求椭圆E的方程;
(Ⅱ)过点(1,0)作直线l交E于P、Q两点,试问在x轴上是否存在一定点M,使
MP
MQ
为定值?若存在,求出定点M的坐标;若不存在,请说明理由.

查看答案和解析>>

科目:高中数学 来源: 题型:

精英家教网已知椭圆E的中心在原点,焦点在x轴上,离心率为
3
2
,且过抛物线C:x2=4y的焦点F.
(I)求椭圆E的方程;
(II)过坐标平面上的点F'作拋物线c的两条切线l1和l2,它们分别交拋物线C的另一条切线l3于A,B两点.
(i)若点F′恰好是点F关于-轴的对称点,且l3与拋物线c的切点恰好为拋物线的顶点(如图),求证:△ABF′的外接圆过点F;
(ii)试探究:若改变点F′的位置,或切线l3的位置,或抛物线C的开口大小,(i)中的结论是否仍然成立?由此给出一个使(i)中的结论成立的命题,并加以证明.

查看答案和解析>>

科目:高中数学 来源: 题型:

已知椭圆E的中心在原点,焦点在x轴上,离心率为
2
2
,且椭圆经过圆C:x2+y2-2
2
x-2y=0
的圆心C.
(Ⅰ)求椭圆E的方程;
(Ⅱ) 设Q是椭圆E上的一点,过点Q的直线l交x轴于点F(-1,0),交y轴于点M,若|
MQ
|=2|
QF
|,求直线l的斜率.

查看答案和解析>>

科目:高中数学 来源:2011-2012学年甘肃省高三百题集理科数学试卷(解析版)(四) 题型:解答题

已知椭圆E的中心在原点,焦点在x轴上,椭圆上的点到焦点的距离的最小值为,离心率e=

(Ⅰ) 求椭圆E的方程;

(Ⅱ) 过点(1,0)作直线交E于P、Q两点,试问在x轴上是否存在一定点M,使为定值?若存在,求出定点M的坐标;若不存在,请说明理由.

 

 

查看答案和解析>>

科目:高中数学 来源:2013届山西省高二第二学期第一次月考文科数学试卷(解析版) 题型:解答题

已知椭圆E的中心在原点,焦点在轴上,椭圆上的点到两个焦点的距离之和为,离心率

(1)求椭圆E的方程;

(2)作直线l:交椭圆E于点P、Q,且OP^OQ。求实数k的值.

 

查看答案和解析>>

同步练习册答案