精英家教网 > 高中数学 > 题目详情

已知等比数列中,各项都是正数,且成等差数列,则(    )

A.  B.     C.吗   D.

 

【答案】

C

【解析】

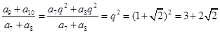
试题分析:本题只要应用等差数列和等比数列的定义就能解决.由成等差数列得,即,又是等比数列,∴,从而(舍去),则

考点:等差数列和等比数列的定义.

 

练习册系列答案
相关习题

科目:高中数学 来源:2012-2013学年黑龙江哈尔滨市高三第五次月考理科数学试卷(解析版) 题型:选择题

已知等比数列中,各项都是正数,前项和为,且成等差数列,若,则(   )

A.               B.               C.              D.

 

查看答案和解析>>

科目:高中数学 来源:2011-2012学年辽宁省高三上学期第三次月考文科数学试卷 题型:选择题

已知等比数列{}中,各项都是正数,且成等差数列,则

A.        B.            C.          D

 

查看答案和解析>>

科目:高中数学 来源:2011-2012学年广东省韶关市高三第一次调研考试理科数学 题型:选择题

已知等比数列中,各项都是正数,且成等差数列,则等于( )

   A.        B.        C.        D.

 

查看答案和解析>>

科目:高中数学 来源:2011-2012学年安徽省高三第三次模拟考试理科数学试卷 题型:选择题

已知等比数列中,各项都是正数,且成等差数列,则

于(  )

         B         C         D 

 

查看答案和解析>>

科目:高中数学 来源:2011-2012学年内蒙古呼伦贝尔市高三第三次模拟考试文科数学试卷 题型:填空题

已知等比数列中,各项都是正数,且成等差数列,则

=       。

 

查看答案和解析>>

同步练习册答案