精英家教网 > 高中数学 > 题目详情

中,,则__________.

练习册系列答案
相关习题

科目:高中数学 来源:2017届甘肃武威二中高三上学期月考一数学(理)试卷(解析版) 题型:填空题

满足的所有点构成的图形的面积为____________.

查看答案和解析>>

科目:高中数学 来源:2017届广西南宁二中等校高三8月联考数学(理)试卷(解析版) 题型:解答题

已知抛物线的焦点为,过点的直线交抛物线于两点.

(1)若,求直线的斜率;

(2)设点在线段上运动,原点关于点的对称点为,求四边形面积的最小值.

查看答案和解析>>

科目:高中数学 来源:2017届广西南宁二中等校高三8月联考数学(理)试卷(解析版) 题型:选择题

已知,则向量的夹角为( )

A. B. C. D.

查看答案和解析>>

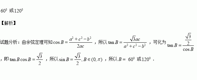
科目:高中数学 来源:2016-2017学年安徽六安一中高二上周末作业一理数学试卷(解析版) 题型:解答题

中,分别为内角的对边,且.

(1)求的大小;

(2)求的最大值.

查看答案和解析>>

科目:高中数学 来源:2016-2017学年安徽六安一中高二上周末作业一理数学试卷(解析版) 题型:选择题

中,为锐角,,则为( )

A.等腰三角形 B.等边三角形

C.直角三角形 D.等腰直角三角形

查看答案和解析>>

科目:高中数学 来源:2016-2017学年安徽六安一中高二上周末作业一理数学试卷(解析版) 题型:选择题

中,,则等于( )

A. B. C. D.

查看答案和解析>>

科目:高中数学 来源:2016-2017学年河北武邑中学高一上周考9.11数学试卷(解析版) 题型:选择题

函数在区间上递减,则实数的取值范围是( )

A. B. C. D.

查看答案和解析>>

科目:高中数学 来源:2017届湖北襄阳五中高三上学期开学考数学(文)试卷(解析版) 题型:选择题

已知函数,若方程有四个不同解,且,则的取值范围为( )

A. B. C. D.

查看答案和解析>>

同步练习册答案