精英家教网 > 高中数学 > 题目详情

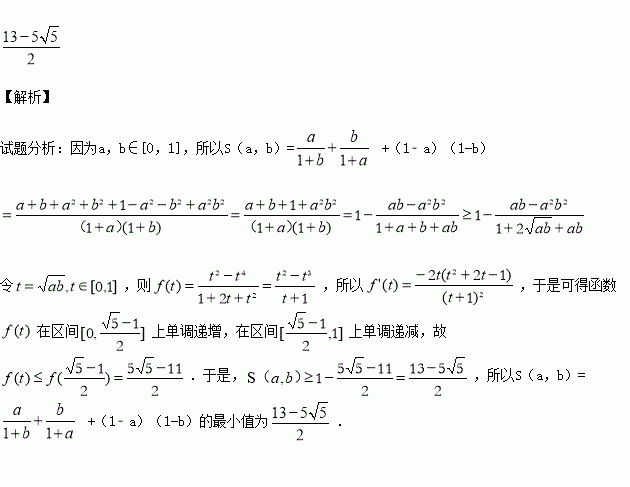
己知a,b∈[0,1],则S(a,b)=+(1a)(1-b)的最小值为

练习册系列答案
相关习题

科目:高中数学 来源:2015-2016学年吉林长春十一中高一上学期期中文科数学卷(解析版) 题型:填空题

已知,则________.

查看答案和解析>>

科目:高中数学 来源:2015-2016学年陕西省西安市高一上学期期中考试数学试卷(解析版) 题型:选择题

如果二次函数上是减函数,在上是增函数,则的最小值为( )

A、-1 B、1 C、-2 D、0

查看答案和解析>>

科目:高中数学 来源:2015-2016学年河南省英文学校高二上学期期中考试数学试卷(解析版) 题型:解答题

等比数列{an}的各项均为正数,且2a1+3a2=1,a=9a2a6.

(1)求数列{an}的通项公式;

(2)设bn=log3a1+log3a2+…+log3an,求数列的前n项和.

查看答案和解析>>

科目:高中数学 来源:2016届四川省成都市高三11月段测三文科数学试卷(解析版) 题型:填空题

式子tan20° +tan40°+tan20°tan40°的值是____.

查看答案和解析>>

科目:高中数学 来源:2016届江西省高三上学期第三次考试文科数学试卷(解析版) 题型:填空题

若函数上的增函数,则实数的取值范围是

查看答案和解析>>

科目:高中数学 来源:2016届江西省高三上学期第三次考试理科数学试卷(解析版) 题型:选择题

已知函数,(a为常数且),若处取得极值,且,而上恒成立,则的取值范围( )

A. B. C. D.

查看答案和解析>>

科目:高中数学 来源:2015-2016学年江苏省高一上学期期中数学试卷(解析版) 题型:填空题

角β的终边和角α=-1035°的终边相同,则cosβ=

查看答案和解析>>

科目:高中数学 来源:2015-2016学年黑龙江省高二上学期期中数学试卷(解析版) 题型:选择题

点M()在圆外,则直线与圆的位置关系是( )

A.相切 B.相交 C.相离 D.不确定

查看答案和解析>>

同步练习册答案