精英家教网 > 高中数学 > 题目详情

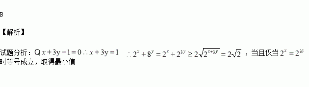
已知x+3y-1=0,则关于的说法正确的是( )

A.有最大值8 B.有最小值

C.有最小值8 D.有最大值

练习册系列答案
相关习题

科目:高中数学 来源:2015-2016学年江西铅山一中 、横峰中学高二上学期期中理科数学卷(解析版) 题型:选择题

设x,y满足约束条件,若目标函数的值是最大值为12,则的最小值为( )

A. B. C. D.4

查看答案和解析>>

科目:高中数学 来源:2015-2016学年吉林省扶余市高一上学期期中考试数学试卷(解析版) 题型:填空题

函数为奇函数,则的值为

查看答案和解析>>

科目:高中数学 来源:2015-2016学年湖南省高二上学期期中考试理科数学试卷(解析版) 题型:选择题

中,是角A,B,C的对边,若成等比数列,,则( )

A. B. C. D.

查看答案和解析>>

科目:高中数学 来源:2015-2016学年福建省高一上学期期中考试数学试卷(解析版) 题型:选择题

已知为奇函数,当时,,则上是( )

A.增函数,最小值为 B.增函数,最大值为

C.减函数,最小值为 D.减函数,最大值为

查看答案和解析>>

科目:高中数学 来源:2015-2016学年福建省高二上学期期中考试理科数学试卷(解析版) 题型:填空题

中,已知角,则外接圆的半径为_______.

查看答案和解析>>

科目:高中数学 来源:2014-2015学年上海市高二下学期期末考试数学试卷(解析版) 题型:填空题

已知,若直线与射线为端点)有交点,则实数的取值范围是

查看答案和解析>>

科目:高中数学 来源:2015-2016学年辽宁省大连市高二上期中文科数学试卷(解析版) 题型:选择题

双曲线的离心率为

(A) (B) (C) (D)

查看答案和解析>>

科目:高中数学 来源:2015-2016学年河北省邢台市高二上第一次月考数学试卷(解析版) 题型:填空题

若圆锥的侧面积与过轴的截面面积之比为,则其母线与轴的夹角的大小为

查看答案和解析>>

同步练习册答案