精英家教网 > 高中数学 > 题目详情
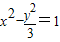
已知双曲线的左顶点为A1,右焦点为F2,P为双曲线右支上一点,则的最小值为( )
A.-2
B.
C.1
D.0
【答案】分析:要求的最小值,我们可以根据已知条件中,P为双曲线右支上一点设出满足条件的P点的坐标,然后根据双曲线的左顶点为A1,右焦点为F2,求出点及相应的向量的坐标,根据平面向量数量积运算法则,再分析其几何意义即可求解.
解答:解:设P点坐标为(x,y)(x>0),
由双曲线方程可得:
A1点坐标为(-1,0),F2点坐标为(2,0)点
=(-x-1,-y)(2-x,-y)=
当x=1,y=0时,取最小值-2
故选A
点评:的最值,我们可以设出P点坐标,然后利用向量数量积公式,求出的表达式,然后分析几何意义,进行求解.
练习册系列答案
相关习题

科目:高中数学 来源:2011-2012学年山东省高考模拟冲刺卷文科数学(三)(解析版) 题型:选择题

已知双曲线的左顶点为,右焦点为为双曲线右支上一点,则最小值为 (    )

A.                         B.                     C.                                                D.

 

查看答案和解析>>

科目:高中数学 来源:2011-2012学年陕西省高三第四次模拟考试理科数学试卷 题型:填空题

已知双曲线的左顶点为,右焦点为为双曲线右支上一点,则最小值为    

 

查看答案和解析>>

科目:高中数学 来源:2011-2012学年河北省高三调研理科数学试卷(1) 题型:解答题

已知双曲线的左顶点为,右焦点为为双曲线右支上一点。

(1)求的最小值;

(2)若直线为圆上动点处的切线,且与双曲线交于不同的两个点,证明为直角三角形。

 

查看答案和解析>>

科目:高中数学 来源:2010-2011学年四川省高三下学期3月月考数学理卷 题型:选择题

已知双曲线的左顶点为,右焦点为P为双曲线右支上一点,则最小值为(   )

A.                     B.                      C.2                     D.3

 

查看答案和解析>>

科目:高中数学 来源:北京市西城区2010年高三一模数学(理)试题 题型:填空题

已知双曲线的左顶点为,右焦点为为双曲线右支上一点,则最小值为    

 

查看答案和解析>>

同步练习册答案