精英家教网 > 高中数学 > 题目详情

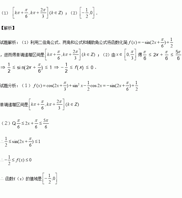
已知向量,函数

(1)求函数f(x)的解析式及其单调递增区间;

(2)当x∈时,求函数f(x)的值域.

练习册系列答案
相关习题

科目:高中数学 来源:2015-2016学年宁夏六盘山高中高二下第二次月考理数学卷(解析版) 题型:解答题

已知二项式

(1)若展开式中第5项、第6项与第7项的二项式系数成等差数列,求展开式中二项式系数最大的项的系数;

(2)若展开式前三项的二项式系数和等于79,求展开式中系数最大的项.

查看答案和解析>>

科目:高中数学 来源:2015-2016学年辽宁省庄河市高一下期中文科数学试卷(解析版) 题型:选择题

已知平面向量,则等于( )

A.9 B.1 C.-1 D.-9

查看答案和解析>>

科目:高中数学 来源:2015-2016学年辽宁省庄河市高一下期中理科数学试卷(解析版) 题型:选择题

将函数的图象沿轴右平移个单位长度,再将图像上所有点的横坐标变为原来的2倍(纵坐标不变),所得图象的函数解析式是( )

A. B.

C. D.

查看答案和解析>>

科目:高中数学 来源:2015-2016年新疆兵团农二师华山中学高二下期中理数学卷(解析版) 题型:解答题

已知函数.

(1)当时,求函数的最大值;

(2)若,且对任意的恒成立,求实数的取值范围.

查看答案和解析>>

科目:高中数学 来源:2015-2016年新疆兵团农二师华山中学高二下期中理数学卷(解析版) 题型:选择题

已知函数y=f(x)的定义域为{x|x∈R,且x≠2},且y=f(x+2)是偶函数,当x<2时,f(x)=|2x﹣1|,那么当x>2时,函数f(x)的递减区间是( )

A.(3,5) B.(3,+∞) C.(2,+∞) D.(2,4]

查看答案和解析>>

科目:高中数学 来源:2015-2016年新疆兵团农二师华山中学高二下期中理数学卷(解析版) 题型:选择题

是两条不同的直线,是两个不同的平面,下列命题正确的是( )

A.若,则 B.若

C.若,则 D.若

查看答案和解析>>

科目:高中数学 来源:2015-2016学年广东中山一中高二下期中理科数学试卷(解析版) 题型:选择题

形如这样的数称为“波浪数”,即十位上的数字、千位上的数字均比与它们各自相邻的数字大,现从由组成的数字不重复的五位数中任取一个,则该数是“波浪数”的概率为( )

A. B. C. D.

查看答案和解析>>

科目:高中数学 来源:2016届黑龙江哈尔滨六中高三下四模考试文科数学试卷(解析版) 题型:解答题

中,分别为内角的对边,且.

(1)求角的大小;

(2)设函数时,求.

查看答案和解析>>

同步练习册答案