精英家教网 > 高中数学 > 题目详情

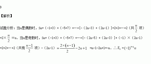
,则等于 ( )

A. B. C. D.

练习册系列答案
相关习题

科目:高中数学 来源:2015-2016学年山东省高二上学情调查理科数学卷(解析版) 题型:选择题

下列有关命题的说法正确的是( )

A.命题“若,则”的否命题为“若,则

B.命题“若x=y,则”的逆否命题是假命题

C.命题“若,则a,b全不为0”为真命题

D.命题“若,则”的逆命题为真

查看答案和解析>>

科目:高中数学 来源:2016届浙江省临海市高三上第三次统练文科数学试卷(解析版) 题型:选择题

定义行列式运算=.将函数的图象向左平移个单位,以下是所得函数图象的一个对称中心是 ( )

A. B. C. D.

查看答案和解析>>

科目:高中数学 来源:2015-2016学年河北省邯郸市等校高二上学期期中理科数学试卷(解析版) 题型:解答题

已知集合,集合

(1)求集合;

(2)若,求的取值范围.

查看答案和解析>>

科目:高中数学 来源:2015-2016学年山东省高二上学期期中考试文科数学试卷(解析版) 题型:填空题

数列 是以 为首项、 为公比的等比数列,则 的通项公式=

查看答案和解析>>

科目:高中数学 来源:2015-2016学年湖北省等高二上学期期中联考文科数学试卷(解析版) 题型:选择题

给出下列三个命题,其中不正确命题的个数是( )

①设有一大批产品,已知其次品率为0.1,则从中任取100件,必有10件是次品;

②做7次抛硬币的试验,结果3次出现正面,因此,出现正面的概率是;

③随机事件发生的频率就是这个随机事件发生的概率.

④互斥事件不一定是对立事件,但是对立事件一定是互斥事件

A.0 B.1 C.2 D.3

查看答案和解析>>

科目:高中数学 来源:2015-2016学年江苏省沭阳县高一上学期期中考试数学试卷(解析版) 题型:填空题

若函数的零点在区间,则

查看答案和解析>>

科目:高中数学 来源:2015-2016学年湖南株洲二中高二上第三次月考理数学卷(解析版) 题型:选择题

下面四个条件中,使a>b成立的充要条件是( )

A.a>b+1 B.a>b-1 C.a2>b2 D.a3>b3

查看答案和解析>>

科目:高中数学 来源:2016届山东省枣庄市高三12月月考文科数学试卷(解析版) 题型:解答题

是椭圆上的两点,向量,且,椭圆离心率,短轴长为2,为坐标原点.

(1)求椭圆方程;

(2)若存在斜率为k的直线AB过椭圆的焦点(c为半焦距),求k的值;

(3)的面积是否为定值?若是,求出该定值;若不是,说明理由.

查看答案和解析>>

同步练习册答案