精英家教网 > 高中数学 > 题目详情
把边长为a的等边三角形铁皮剪去三个相同的四边形(如图阴影部分)后,用剩余部分做成一个无盖的正三棱柱形容器(不计接缝),设容器的高为x,容积为V(x).
(Ⅰ)写出函数V(x)的解析式,并求出函数的定义域;
(Ⅱ)求当x为多少时,容器的容积最大?并求出最大容积.
解:(Ⅰ)因为容器的高为x,则做成的正三棱柱形容器的底边长为

函数的定义域为
(Ⅱ)实际问题归结为求函数V(x)在区间上的最大值点.
先求V(x)的极值点.在开区间内,
令V'(x)=0,即令
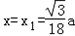
解得(舍去).
因为在区间内,x1可能是极值点.
当0<x<x1时,V'(x)>0;
时,V'(x)<0.
因此x1是极大值点,且在区间内,x1是唯一的极值点,
所以是V(x)的最大值点,
并且最大值 时,容器的容积最大为
练习册系列答案
相关习题

科目:高中数学 来源: 题型:

精英家教网我们把由半椭圆
x2
a2
+
y2
b2
=1(x≥0)
与半椭圆
y2
b2
+
x2
c2
=1(x<0)
合成的曲线称作“果圆”(其中a2=b2+c2,a>b>c>0).如图,设点F0,F1,F2是相应椭圆的焦点,A1、A2和B1、B2是“果圆”与x,y轴的交点,若△F0F1F2是边长为1的等边三角,则a,b的值分别为(  )
A、
7
2
,1
B、
3
,1
C、5,3
D、5,4

查看答案和解析>>

科目:高中数学 来源: 题型:单选题

我们把由半椭圆数学公式与半椭圆数学公式合成的曲线称作“果圆”(其中a2=b2+c2,a>b>c>0).如图,设点F0,F1,F2是相应椭圆的焦点,A1、A2和B1、B2是“果圆”与x,y轴的交点,若△F0F1F2是边长为1的等边三角,则a,b的值分别为


  1. A.
    数学公式
  2. B.
    数学公式
  3. C.
    5,3
  4. D.
    5,4

查看答案和解析>>

科目:高中数学 来源:不详 题型:单选题

我们把由半椭圆
x2
a2
+
y2
b2
=1(x≥0)
与半椭圆
y2
b2
+
x2
c2
=1(x<0)
合成的曲线称作“果圆”(其中a2=b2+c2,a>b>c>0).如图,设点F0,F1,F2是相应椭圆的焦点,A1、A2和B1、B2是“果圆”与x,y轴的交点,若△F0F1F2是边长为1的等边三角,则a,b的值分别为(  )
A.
7
2
,1
B.
3
,1
C.5,3D.5,4
精英家教网

查看答案和解析>>

科目:高中数学 来源:2011年高中数学综合测试卷(选修1-1)(解析版) 题型:选择题

我们把由半椭圆与半椭圆合成的曲线称作“果圆”(其中a2=b2+c2,a>b>c>0).如图,设点F,F1,F2是相应椭圆的焦点,A1、A2和B1、B2是“果圆”与x,y轴的交点,若△FF1F2是边长为1的等边三角,则a,b的值分别为( )

A.
B.
C.5,3
D.5,4

查看答案和解析>>

科目:高中数学 来源:2011年湖南省益阳市沅江市高三质量检测试卷3(理科)(解析版) 题型:选择题

我们把由半椭圆与半椭圆合成的曲线称作“果圆”(其中a2=b2+c2,a>b>c>0).如图,设点F,F1,F2是相应椭圆的焦点,A1、A2和B1、B2是“果圆”与x,y轴的交点,若△FF1F2是边长为1的等边三角,则a,b的值分别为( )

A.
B.
C.5,3
D.5,4

查看答案和解析>>

同步练习册答案