精英家教网 > 高中数学 > 题目详情

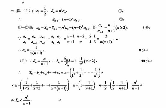
已知数列的首项,前项和.(Ⅰ)求数列的通项公式;(Ⅱ)设为数列的前项和,求证:

练习册系列答案
相关习题

科目:高中数学 来源: 题型:

已知数列的首项,前项和为,且

     (Ⅰ)设,求数列的通项公式;

     (Ⅱ)求数列的前项和

查看答案和解析>>

科目:高中数学 来源: 题型:

已知数列的首项,前项和为,且

(1)求数列的通项;

(2)令,求函数处的导数

查看答案和解析>>

科目:高中数学 来源:2010年普通高等学校招生全国统一考试(重庆卷)数学理工类模拟试卷(四) 题型:解答题

已知数列的首项,前项和恒为正数,且当时,
(Ⅰ)求数列的通项公式;
(Ⅱ)求证:

查看答案和解析>>

科目:高中数学 来源:黑龙江省2009-2010学年度上学期高三期末(数学理)试题 题型:解答题

已知数列的首项,前项和为,且

(1)求数列的通项;

(2)令,求函数处的导数

 

查看答案和解析>>

科目:高中数学 来源:黑龙江省哈六中2009—2010学年度上学期高三期末(数学理)试题 题型:解答题

已知数列的首项,前项和为,且
(1)求数列的通项;
(2)令,求函数处的导数

查看答案和解析>>

同步练习册答案