精英家教网 > 高中数学 > 题目详情

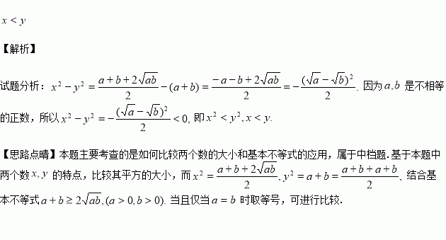
已知是不相等的正数,,则的大小关系是 ______

练习册系列答案
相关习题

科目:高中数学 来源:2016届安徽省高三下学期组卷一文科数学试卷(解析版) 题型:解答题

已知数列的前项和和通项满足,数列中,.

(1)求数列的通项公式;

(2)数列满足求证:.

查看答案和解析>>

科目:高中数学 来源:2015-2016学年西藏日喀则一中高一4月月考数学试卷(解析版) 题型:解答题

已知圆的方程为,点.

(1)直线过点,且与圆相交所得弦长最大,求直线的方程;

(2)直线过点,与圆相切分别交轴,轴于,求的面积.

查看答案和解析>>

科目:高中数学 来源:2015-2016学年西藏日喀则一中高一4月月考数学试卷(解析版) 题型:选择题

是两条不同的直线,是两个不同的平面,则( )

A.若,则

B.若,则

C.若,则

D.若,则

查看答案和解析>>

科目:高中数学 来源:2015-2016学年内蒙古赤峰二中高二上第二次月考理数学卷(解析版) 题型:解答题

已知函数,曲线经过点且在点处的切线垂直于轴,设

(I)用分别表示

(Ⅱ)当取得最小值时,求函数的单调递增区间。

查看答案和解析>>

科目:高中数学 来源:2015-2016学年内蒙古赤峰二中高二上第二次月考理数学卷(解析版) 题型:选择题

在用数学归纳法证明不等式 的过程中,当由n=k推到n=k+1时,不等式左边应增加 ( )

A.增加了一项 B.增加了两项

C.增加了B中的两项但减少了一项 D. 以上都不对

查看答案和解析>>

科目:高中数学 来源:2015-2016学年内蒙古赤峰二中高二上第二次月考理数学卷(解析版) 题型:选择题

曲线y=在点(1,-)处切线的倾斜角为( )

A.1 B. C. D.-

查看答案和解析>>

科目:高中数学 来源:2015-2016学年安徽省高二下期中文科数学试卷(解析版) 题型:选择题

在平面直角坐标系中,直线的参数方程为为参数,),圆的参数方程为为参数,),则圆心到直线的距离为( )

A. B. C. D.

查看答案和解析>>

科目:高中数学 来源:2015-2016学年河北武邑中学高二下4.24周考文数学卷(解析版) 题型:选择题

已知点分别是双曲线的左、右焦点,过且垂直于轴的直线与双曲线交于两点,若是锐角三角形,则该双曲线离心率的取值范围是( )

A. B. C. D.

查看答案和解析>>

同步练习册答案