精英家教网 > 高中数学 > 题目详情

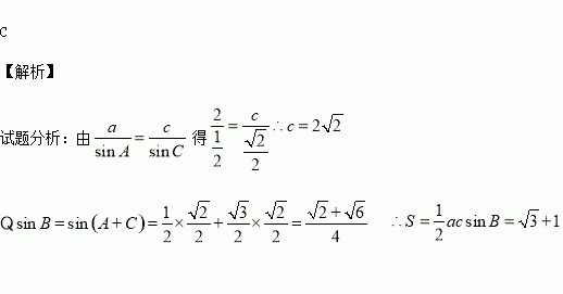
中,已知,则的面积等于( )

A. B. C.+1 D.

练习册系列答案
相关习题

科目:高中数学 来源:2015-2016学年重庆市高一上学期期中数学试卷(解析版) 题型:填空题

函数,若对于任意的,都存在,使得成立,则实数的取值范围是__________.

查看答案和解析>>

科目:高中数学 来源:2015-2016学年河北省高一上学期期中数学试卷(解析版) 题型:选择题

函数的反函数的定义域为( )

A. B. C. D.

查看答案和解析>>

科目:高中数学 来源:2015-2016学年江苏省高邮市高一上学期期中调研数学试卷(解析版) 题型:解答题

已知集合

(1)写出集合的所有真子集;

(2)当时,求

(3)当时,求的取值范围.

查看答案和解析>>

科目:高中数学 来源:2015-2016学年吉林省扶余市高一上学期期中考试数学试卷(解析版) 题型:选择题

( )

A.6 B.5 C.4 D.3

查看答案和解析>>

科目:高中数学 来源:2016届黑龙江省高三12月月考理科数学试卷(解析版) 题型:填空题

已知的夹角为,则_________.

查看答案和解析>>

科目:高中数学 来源:2016届河南省郑州市高三上学期联考文科数学试卷(解析版) 题型:选择题

执行如图所示的程序框图,若输出,则输入角( )

A. B.- C. D.-

查看答案和解析>>

科目:高中数学 来源:2015-2016学年广西陆川县中学高一上学期周测九数学试卷(解析版) 题型:选择题

下列关于用斜二测画法画直观图的说法中,错误的是( )

A.用斜二测画法画出的直观图是在平行投影下画出的空间图形

B.几何体的直观图的长、宽、高与其几何体的长、宽、高的比例相同

C.水平放置的矩形的直观图是平行四边形

D.水平放置的圆的直观图是椭圆

查看答案和解析>>

科目:高中数学 来源:2016上海复旦大学附中届高三上期中文科数学试卷(解析版) 题型:解答题

(本题满分16分,第1小题满分4分,第2小题满分6分,第3小 题满分6分. )

已知椭圆的左、右焦点分别为, 点是椭圆的一个顶点,△是等腰直角三角形.

(1)求椭圆的方程;

(2)设点是椭圆上一动点,求线段的中点的轨迹方程;

(3)过点分别作直线交椭圆于两点,设两直线的斜率分别为

,探究:直线是否过定点,并说明理由.

查看答案和解析>>

同步练习册答案