精英家教网 > 高中数学 > 题目详情
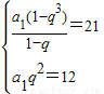
已知各项均为正数的等比数列{an}中,S3=21,a3=12
(1)求数列{an}的通项公式;
(2)求数列{nan}的前n项和.
【答案】分析:(1)利用S3=21,a3=12,建立方程组,求出公比与首项,从而可求数列{an}的通项公式;
(2)利用错位相减法,可求数列{nan}的前n项和.
解答:解:(1)设首项a1,公比q,由已知q≠1,,∴舍去),a1=3,

(2 ),设其前n项和为Tn
∴Tn=3(1×2+2×21+…+n×2n-1)①
∴2Tn=3(1×21+2×22+…+n×2n)②
①-②可得:-Tn=3(2+21+22+…+2n-1-n×2n)=3(-n×2n
∴Tn=3-3×2n+3n×2n
点评:本题考查数列的通项与求和,考查错位相减法的运用,考查学生的计算能力,属于中档题.
练习册系列答案
相关习题

科目:高中数学 来源:2011届本溪县高二暑期补课阶段考试数学卷 题型:解答题

(本题满分12分)已知各项均为正数的数列
的等比中项。
(1)求证:数列是等差数列;(2)若的前n项和为Tn,求Tn

查看答案和解析>>

科目:高中数学 来源:2013-2014学年河北省石家庄高三上学期调研考试文科数学试卷(解析版) 题型:选择题

已知各项均为正数的等比数列中,的等比中项为,则的最小值为(    )

A.16    B.8    C.    D.4

 

查看答案和解析>>

科目:高中数学 来源:2013届辽宁朝阳柳城高中高三上第三次月考理科数学试卷(解析版) 题型:解答题

 已知各项均为正数的数列

的等比中项。

(1)求证:数列是等差数列;(2)若的前n项和为Tn,求Tn

 

查看答案和解析>>

科目:高中数学 来源:2013届辽宁朝阳柳城高中高三上第三次月考文科数学试卷(解析版) 题型:解答题

(12分)已知各项均为正数的数列

的等比中项。

(1)求证:数列是等差数列;

(2)若的前n项和为Tn,求Tn

 

查看答案和解析>>

科目:高中数学 来源:2010-2011学年本溪县高二暑期补课阶段考试数学卷 题型:解答题

(本题满分12分)已知各项均为正数的数列

的等比中项。

(1)求证:数列是等差数列;(2)若的前n项和为Tn,求Tn

 

查看答案和解析>>

同步练习册答案