精英家教网 > 高中数学 > 题目详情

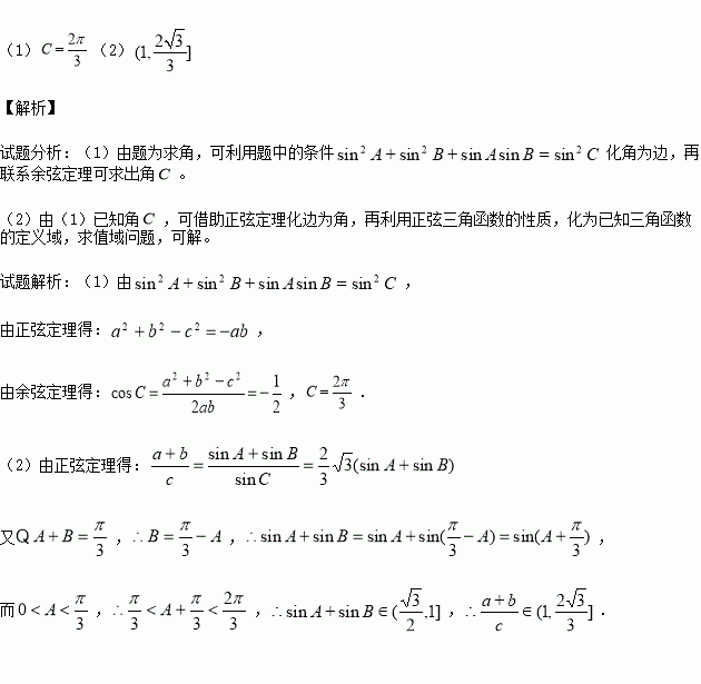
中内角的对边分别为

已知

(Ⅰ)求角的大小;

(Ⅱ)求的取值范围.

练习册系列答案
相关习题

科目:高中数学 来源:2015-2016学年四川省高二下期中理科数学试卷(解析版) 题型:选择题

椭圆上一点到焦点的距离等于6,则点到另一个焦点的距离为( )

A.10 B.8 C.4 D.3

查看答案和解析>>

科目:高中数学 来源:2015-2016学年河北省高二3月月考文科数学试卷(解析版) 题型:选择题

设有一个回归方程为,变量增加一个单位时,则( )

A.平均增加个单位 B.平均增加2个单位

C.平均减少个单位 D.平均减少2个单位

查看答案和解析>>

科目:高中数学 来源:2015-2016学年河北省高一3月月考文科数学试卷(解析版) 题型:选择题

直线x+y-2=0截圆x2+y2=4得的劣弧所对的圆心角为( )

A. B. C. D.

查看答案和解析>>

科目:高中数学 来源:2015-2016学年河北省高一3月月考文科数学试卷(解析版) 题型:选择题

如果点位于第三象限,那么角所在象限是( )

A.第一象限 B.第二象限 C.第三象限 D.第四象限

查看答案和解析>>

科目:高中数学 来源:2015-2016学年浙江省高一下学期期中数学试卷(解析版) 题型:填空题

中,内角的对边分别为,已知,,则 ,边 .

查看答案和解析>>

科目:高中数学 来源:2015-2016学年浙江省高一下学期期中数学试卷(解析版) 题型:选择题

若关于的不等式的解集为,则关于的不等式的解集为( )

A. B. C. D.

查看答案和解析>>

科目:高中数学 来源:2015-2016学年安徽省国科大附中高一下期中数学试卷(解析版) 题型:选择题

已知如图的程序,如果程序执行后输出的结果是990,那么在UNTIL后面的“条件”应为 ( )

A. i > 9 B. i >= 9 C. i <= 8 D. i < 8

查看答案和解析>>

科目:高中数学 来源:2015-2016学年湖北省黄石市高二下期中理科数学试卷(解析版) 题型:选择题

设函数( )

A.有极大值,无极小值 B.有极小值,无极大值

C.既有极大值又有极小值 D.既无极大值也无极小值

查看答案和解析>>

同步练习册答案