精英家教网 > 高中数学 > 题目详情
已知正项等差数列的前项和为,且满足
(Ⅰ)求数列的通项公式
(Ⅱ)若数列满足,求数列的前项和
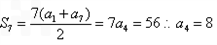
解:(Ⅰ) ∵{an}是等差数列且

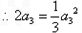
又∵


.  
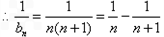
(Ⅱ)∵

时,

时,满足上式,
    
∴  
.        
练习册系列答案
相关习题

科目:高中数学 来源:2011-2012学年甘肃省天水市高三第五次检测理科数学 题型:选择题

已知正项等差数列的前20项的和为100,那么的最大值为                     A. 25           B. 50          C. 100           D. 不存在

 

查看答案和解析>>

科目:高中数学 来源:2010-2011学年湖南省常德市高三质量检测考试数学理卷 题型:选择题

已知正项等差数列的前20项的和为100,那么的最大值为(    )

A.25              B.50             C.100           D.不存在

 

查看答案和解析>>

科目:高中数学 来源:2010-2011学年河北省高三上学期期末考试数学文卷 题型:选择题

已知正项等差数列的前20项的和为100,那么的最大值为                  

  A. 75           B. 100              C. 50               D.25

 

查看答案和解析>>

科目:高中数学 来源:2010-2011学年云南省高三第二次月考理科数学卷 题型:选择题

已知正项等差数列的前20项的和为100,那么的最大值为      (     )

  A. 25               B. 50              C. 100                D. 不存在

 

查看答案和解析>>

科目:高中数学 来源:2010年江西省高一上学期第二次月考数学卷 题型:选择题

已知正项等差数列的前20项的和为100,那么的最大值为      (     )

  A. 25               B. 50              C. 100                D. 不存在

 

查看答案和解析>>

同步练习册答案