精英家教网 > 高中数学 > 题目详情

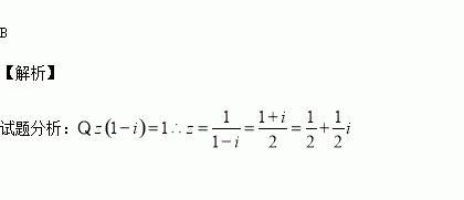
复数满足(其中为虚数单位),则=

A. B. C. D.

练习册系列答案
相关习题

科目:高中数学 来源:2015-2016学年山东省济宁市兖州区高一上学期期中考试数学试卷(解析版) 题型:填空题

(log43+log83)(log32+log92)=_________.

查看答案和解析>>

科目:高中数学 来源:2016届福建省高三上学期期中文科数学试卷(解析版) 题型:选择题

若点满足线性约束条件,点为坐标原点,则的最大值为( )

A.0 B.3 C.-6 D.6

查看答案和解析>>

科目:高中数学 来源:2015-2016学年甘肃省高一上期中数学试卷(解析版) 题型:选择题

如果函数在区间上是减函数,那么实数的取值范围是( )

A. B. C. D.

查看答案和解析>>

科目:高中数学 来源:2015-2016学年安徽省合肥市高一上学期期中数学试卷(解析版) 题型:选择题

已知集合,则正确表示集合关系的韦恩(Venn)图是( )

查看答案和解析>>

科目:高中数学 来源:2015-2016学年广东省清远市实验学校高一上学期期中数学试卷(解析版) 题型:选择题

集合{1,2,3}的真子集共有( )

A.5个 B.6个 C.7个 D.8个

查看答案和解析>>

科目:高中数学 来源:2016届北京市朝阳区高三上学期期中统一考试文科数学试卷(解析版) 题型:解答题

已知函数

(Ⅰ)求的最小正周期;

(Ⅱ)求的单调递减区间.

查看答案和解析>>

科目:高中数学 来源:2015-2016学年河北省高一上学期期中考试理科数学试卷(解析版) 题型:选择题

是奇函数,且在内是增函数,又,则的解集是

A.

B.

C.

D.

查看答案和解析>>

科目:高中数学 来源:2016届湖南省高三上第三次月考文数学卷(解析版) 题型:填空题

执行如下图的程序框图,那么输出的值是

查看答案和解析>>

同步练习册答案