精英家教网 > 高中数学 > 题目详情

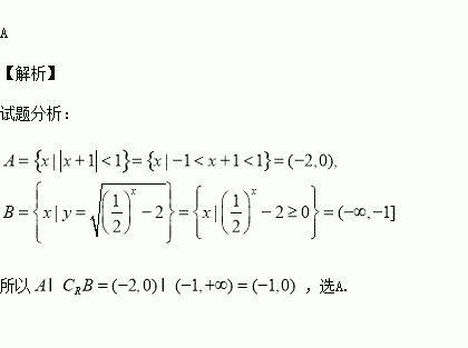
已知集合 ,则( )

A. B. C. D.

练习册系列答案
相关习题

科目:高中数学 来源:2015-2016学年四川省雅安市高一下学期期中文科数学试卷(解析版) 题型:选择题

等差数列的前n项和为,若,则等于( )

A. 52 B. 54 C. 56 D. 58

查看答案和解析>>

科目:高中数学 来源:2015-2016学年贵州遵义一中高一下第二次联考数学试卷(解析版) 题型:选择题

中,已知,则的形状为( )

A.等腰三角形 B.直角三角形 C.等腰或直角三角形 D.正三角形

查看答案和解析>>

科目:高中数学 来源:2016届山西省榆林市高三二模理科数学试卷(解析版) 题型:填空题

如果复数是纯虚数,则的值为________.

查看答案和解析>>

科目:高中数学 来源:2016届山西省榆林市高三二模理科数学试卷(解析版) 题型:选择题

已知,执行下列程序框图,则输出结果共有( )

A.3种 B.4种 C.5种 D.6种

查看答案和解析>>

科目:高中数学 来源:2016届吉林省高三五模文科数学试卷(解析版) 题型:解答题

已知抛物线,过点的动直线交抛物线于两点,线段的中点为,当直线的斜率为-1时,点恰为线段的中点

(1)求抛物线的方程;

(2)抛物线上是否存在一个定点,使得,若存在,求出点坐标,若不存在,请说明理由

查看答案和解析>>

科目:高中数学 来源:2016届吉林省高三五模文科数学试卷(解析版) 题型:填空题

已知导数为,且,则

查看答案和解析>>

科目:高中数学 来源:2016届吉林省高三五模理科数学试卷(解析版) 题型:解答题

已知抛物线,过点的动直线交抛物线于两点,当直线的斜率为-1时,点恰为的中点

(1)求抛物线的方程;

(2)抛物线上是否存在一个定点,使得以弦为直径的圆恒过点,若存在,求出点坐标,若不存在,请说明理由

查看答案和解析>>

科目:高中数学 来源:2015-2016学年贵州遵义一中高二下联考理科数学试卷(解析版) 题型:选择题

设全集,集合,则( )

A. B. C. D.

查看答案和解析>>

同步练习册答案