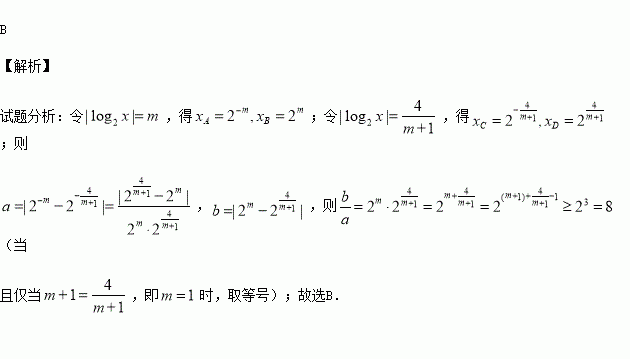
精英家教网 > 高中数学 > 题目详情

已知两条直线与函数的图象从左至右相交于点与函数的图象从左至右相交于.记线段轴上的投影长度分别为,当变化时,的最小值为( )

A、16 B、8 C、4 D、2

练习册系列答案
相关习题

科目:高中数学 来源:2015-2016学年浙江省温州市高一上学期期中考试数学试卷(解析版) 题型:选择题

,则的大小关系是( )

A. B. C. D.

查看答案和解析>>

科目:高中数学 来源:2016届河北省高三上学期四调理科数学试卷(解析版) 题型:选择题

如图,已知正方体的棱长为,动点分别在线段上.当三棱锥的俯视图如图所示时,三棱锥的正视图面积等于( )

A. B. C. D.

查看答案和解析>>

科目:高中数学 来源:2015-2016学年湖北武汉华中师大一附高一上期中数学试卷(解析版) 题型:选择题

方程的根所在的区间为( )

A. B. C. D.

查看答案和解析>>

科目:高中数学 来源:2016届宁夏六盘山高中高三上学期第二次月考文科数学试卷(解析版) 题型:解答题

设函数

(1)求的最大值,并写出使取最大值时的集合;

(2)已知中,角的对边分别为,若,求的最小值.

查看答案和解析>>

科目:高中数学 来源:2016届江苏省高三上学期周练数学试卷(解析版) 题型:填空题

已知实数,若以为三边长能构成一个三角形,则实数的范围为

查看答案和解析>>

科目:高中数学 来源:2016届湖南省株洲市高三上学期期中文科数学试卷(解析版) 题型:选择题

执行如图所示的程序框图,若输入如下四个函数:

则输出的函数是

A. B.

C. D.

查看答案和解析>>

科目:高中数学 来源:2016届湖北武汉华中师大一附等高三上第一次联考理数学卷(解析版) 题型:选择题

已知函数的周期为,若将其图象沿轴向右平移个单位,所得图象关于原点对称,则实数的最小值为( )

A. B. C. D.

查看答案和解析>>

科目:高中数学 来源:2014-2015学年广东省心学校高一上学期期末数学试卷(解析版) 题型:填空题

已知

查看答案和解析>>

同步练习册答案