精英家教网 > 高中数学 > 题目详情

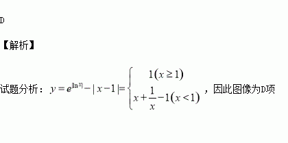
函数的图象大致是( )

练习册系列答案
相关习题

科目:高中数学 来源:2016届黑龙江牡丹江一中高三10月月考文数学试卷(解析版) 题型:选择题

若函数的导函数,则使得函数单调递减的一个充分不必要条件是∈( )

A.[2,4] B.[2,3] C.[0,1] D.[3,5]

查看答案和解析>>

科目:高中数学 来源:2015-2016学年黑龙江哈尔滨师大附中高二上期中文数学卷(解析版) 题型:解答题

设椭圆C: 的离心率与双曲线x2-y2=1的离心率互为倒数,且在椭圆上.

(Ⅰ) 求椭圆C的方程;

(Ⅱ) 若椭圆C左、右焦点分别为,过的直线与椭圆C相交于两点,求面积的最大值.

查看答案和解析>>

科目:高中数学 来源:2015-2016学年河北石家庄二中高一上学期期中数学试卷(解析版) 题型:解答题

已知集合

(Ⅰ)若

(Ⅱ)若,求实数

查看答案和解析>>

科目:高中数学 来源:2015-2016学年广东汕头市高二10月月考数学卷(解析版) 题型:选择题

如果直线轴正半轴,轴正半轴围成的四边形封闭区域(含边界)中的点,使函数的最大值为8, 求的最小值( )

A、4 B、3 C、2 D、0

查看答案和解析>>

科目:高中数学 来源:2015-2016学年江苏省高邮市高一上学期期中调研数学试卷(解析版) 题型:填空题

已知,则的大小关系为 .(用“<”连结)

查看答案和解析>>

科目:高中数学 来源:2015-2016学年吉林省扶余市高一上学期期中考试数学试卷(解析版) 题型:选择题

某几何体的正视图和侧视图如图所示,则该几何体的体积不可能是( )

A. B. C. D.1

查看答案和解析>>

科目:高中数学 来源:2016届四川省成都市高三11月段测三文科数学试卷(解析版) 题型:选择题

抛物线y=2x2的焦点坐标是( )

A.(0,) B.(0,) C.(,0) D.(,0)

查看答案和解析>>

科目:高中数学 来源:2015-2016学年安徽师大附中高二上学期期中文科数学试卷(解析版) 题型:选择题

已知椭圆的焦点在轴上,若椭圆的离心率为,则=( )

A. B. C. D.

查看答案和解析>>

同步练习册答案