精英家教网 > 高中数学 > 题目详情

  已知函数>0)

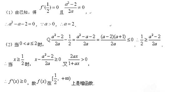
   (1)若的一个极值点,求的值;

   (2)求证:当0<上是增函数;

   (3)若对任意的总存在成立,求实数m的取值范围。

  

 

【答案】

时不可能使恒成立,故必有

                 .

,可知在区间上递减,

在此区间上,有,与恒成立矛盾,

,这时,上递增,

恒有,满足题设要求,,即

所以,实数的取值范围为.                     

 

 

【解析】略

 

练习册系列答案
相关习题

科目:高中数学 来源: 题型:

已知函数x≤0时,f(x)=2x,x>0时,f(x)=log
13
x
,则函数y=f[f(x)]-1的零点个数有
3
3
个.

查看答案和解析>>

科目:高中数学 来源:2009-2010学年黑龙江省鹤岗一中高一(上)期末数学试卷(文科)(解析版) 题型:解答题

已知函数(0<φ<π,ω>0)为偶函数,且函数y=f(x)图象的两相邻对称轴间的距离为
(Ⅰ)求的值;
(Ⅱ)将函数y=f(x)的图象向右平移个单位后,再将得到的图象上各点的横坐标伸长到原来的4倍,纵坐标不变,得到函数y=g(x)的图象,求g(x)的单调递减区间.

查看答案和解析>>

科目:高中数学 来源:广东省09-10学年高二下学期期末考试数学试题(文科卷) 题型:解答题

(满分14分)已知函数在(-,0)上是增函数,在[0,2]上是减函数,且方程有三个根分别为

   (1)求的值;

(2)求证;

(3)求的取值范围.

 

查看答案和解析>>

科目:高中数学 来源:2010-2011学年贵州省7校高三联考理数试题 题型:填空题

(本小题满分12分)

已知函数在[0,+)上最小值是

(1)求数列的通项公式;

(2)令,求证:

 

 

查看答案和解析>>

科目:高中数学 来源:2010年辽宁省高一上学期10月月考数学卷 题型:选择题

已知函数在[0,1]上是减函数,则a的取值范围是(     )

A.           B.(1,2)           C.           D.

 

查看答案和解析>>

同步练习册答案