精英家教网 > 高中数学 > 题目详情

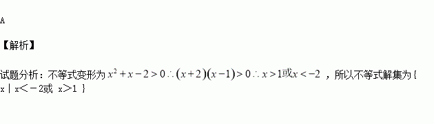
不等式-x2-x+2<0的解集为( )

A、 {x|x<-2或 x>1 } B、 {x|-2<x<1 }

C、 {x|x<-1 或x>2 } D、 {x|-1<x<2 }

练习册系列答案
相关习题

科目:高中数学 来源:2017届四川绵阳中学高三上学期入学考试数学(理)试卷(解析版) 题型:选择题

已知函数的导函数,且满足,则( )

A. B. C. D.

查看答案和解析>>

科目:高中数学 来源:2016-2017学年辽宁六校协作体高二期初考试数学试卷(解析版) 题型:选择题

函数的最小值为( )

A. B. C. D.

查看答案和解析>>

科目:高中数学 来源:2015-2016学年贵州黔南州高一下学期期末数学试卷(解析版) 题型:填空题

已知a>0,则的最小值是

查看答案和解析>>

科目:高中数学 来源:2015-2016学年贵州黔南州高一下学期期末数学试卷(解析版) 题型:选择题

若实数x,y满足,则z=x+2y的最大值为( )

A、0 B、1 C、 D、2

查看答案和解析>>

科目:高中数学 来源:2015-2016学年广东汕头市高二下学期期末数学(文)试卷(解析版) 题型:解答题

已知函数.

(1)求函数的极值;

(2)设函数,若对恒不小于,求的最大值.

查看答案和解析>>

科目:高中数学 来源:2015-2016学年广东汕头市高二下学期期末数学(文)试卷(解析版) 题型:填空题

时,的最小值是 .

查看答案和解析>>

科目:高中数学 来源:2015-2016学年广东汕头市高一下学期期末数学试卷(解析版) 题型:解答题

从某大学一年级女生中,选取身高分别是150cm、155cm、160cm、165cm、170cm的学生各一名,其身高和体重数据如表所示:

身高/cm

150

155

160

165

170

体重/kg

43

46

49

51

56

(1)求关于的线性回归方程;

(2)利用(1)中的回归方程,计算身高为168cm时,体重的估计值为多少?

参考公式:线性回归方程,其中.

查看答案和解析>>

科目:高中数学 来源:2016届陕西黄陵中学高三下二模考试数学(理)试卷(解析版) 题型:选择题

设集合,则( )

A. B. C. D.

查看答案和解析>>

同步练习册答案