精英家教网 > 高中数学 > 题目详情

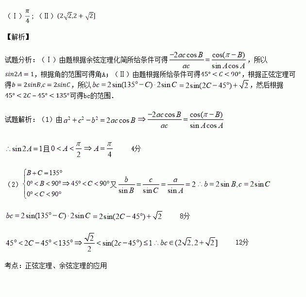
(本小题满分12分)在锐角中,

(Ⅰ)求角;(Ⅱ)若,求的取值范围.

练习册系列答案
相关习题

科目:高中数学 来源:2014-2015学年湖南省高三5月模拟考试文科数学试卷(解析版) 题型:解答题

(本小题满分13分)已知函数处取得极值

(1)求的解析式;

(2)设是曲线上除原点外的任意一点,过的中点且垂直于轴的直线交曲线于点,试问:是否存在这样的点,使得曲线在点处的切线与平行?若存在,求出点的坐标;若不存在,说明理由;

(3)设函数,若对于任意,总存在,使得,求实数的取值范围.

查看答案和解析>>

科目:高中数学 来源:2014-2015学年湖南省高三5月模拟考试理科数学试卷(解析版) 题型:选择题

设复数在复平面内的对应点关于虚轴对称,,则( )

A. B.5 C. D.

查看答案和解析>>

科目:高中数学 来源:2014-2015学年湖北省襄阳市高三5月模拟考试一文科数学试卷(解析版) 题型:选择题

已知直线上存在点满足,则实数的取值范围为( )

A.(-)B.[-] C.(-)D.[-]

查看答案和解析>>

科目:高中数学 来源:2014-2015学年湖北省襄阳市高三5月模拟考试一理科数学试卷(解析版) 题型:解答题

(本小题满分14分)设函数,其中是实数,曲线恒与轴相切于坐标原点.

(1)求常数的值;

(2)当时,关于的不等式恒成立,求实数的取值范围;

(3)求证:

查看答案和解析>>

科目:高中数学 来源:2014-2015学年湖北省襄阳市高三5月模拟考试一理科数学试卷(解析版) 题型:填空题

,则展开式中的常数项为 .(用数字作答)

查看答案和解析>>

科目:高中数学 来源:2014-2015学年湖北省襄阳市高三5月模拟考试一理科数学试卷(解析版) 题型:选择题

已知向量.若向量满足,则().

A. B. C. D.

查看答案和解析>>

科目:高中数学 来源:2014-2015学年黑龙江省高三第三次高考模拟文科数学试卷(解析版) 题型:选择题

已知函数,对,使得,则的最小值为

A. B. C. D.

查看答案和解析>>

科目:高中数学 来源:2014-2015学年浙江省杭州地区七校高二下学期期中联考文科数学试卷(解析版) 题型:填空题

如图,在边长为2的菱形ABCD中, ,现将沿BD翻折至, 使二面角的大小为,求CD和平面A/BD所成角的余弦值是 ;

查看答案和解析>>

同步练习册答案