精英家教网 > 高中数学 > 题目详情
已知动点P到定点的距离与点P到定直线l:的距离之比为
(1)求动点P的轨迹C的方程;
(2)设M、N是直线l上的两个点,点E与点F关于原点O对称,若,求|MN|的最小值.
【答案】分析:(1)先设点P坐标,再根据定点的距离与点P到定直线l:的距离之比为求得方程.
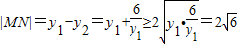
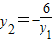
(2))先由点E与点F关于原点O对称,求得E的坐标,再根据直线l的方程设M、N坐标,然后由,即6+y1y2=0.构建,再利用基本不等式求得最小值.
解答:解:(1)设点P(x,y),
依题意,有
整理,得
所以动点P的轨迹C的方程为
(2)∵点E与点F关于原点O对称,
∴点E的坐标为
∵M、N是直线l上的两个点,
∴可设(不妨设y1>y2).


即6+y1y2=0.即
由于y1>y2,则y1>0,y2<0.

当且仅当时,等号成立.
故|MN|的最小值为
点评:本小题主要考查椭圆、基本不等式等知识,考查数形结合、化归与转化、函数与方程的数学思想方法,以及推理论证能力和运算求解能力
练习册系列答案
相关习题

科目:高中数学 来源: 题型:

已知动点P到直线l:x=--
4
3
3
的距离d1,是到定点F(-
3
,0
)的距离d2
2
3
3
倍.
(1) 求动点P的轨迹方程;
(2) 若直线m:y=k(x+1)(k≠o)与点P的轨迹有两个交点A、B,求弦AB的中垂线n在y轴上的截距y0的取值范围.

查看答案和解析>>

科目:高中数学 来源:北京市海淀区2009年高三数学查漏补缺题 题型:044

已知动点P到直线的距离是到定点()的距离的倍.

(Ⅰ)求动点P的轨迹方程;

(Ⅱ)如果直线lyk(x+1)(k≠0)与P点的轨迹有两个交点A、B,求弦AB的垂直平分线在y轴上的截距y0的取值范围.

查看答案和解析>>

科目:高中数学 来源:不详 题型:解答题

已知动点P到直线l:x=--
4
3
3
的距离d1,是到定点F(-
3
,0
)的距离d2
2
3
3
倍.
(1) 求动点P的轨迹方程;
(2) 若直线m:y=k(x+1)(k≠o)与点P的轨迹有两个交点A、B,求弦AB的中垂线n在y轴上的截距y0的取值范围.

查看答案和解析>>

科目:高中数学 来源:2010-2011学年四川省成都市树德中学高三(下)入学数学试卷(文科)(解析版) 题型:解答题

已知动点P到直线l:x=-的距离d1,是到定点F(-)的距离d2倍.
(1) 求动点P的轨迹方程;
(2) 若直线m:y=k(x+1)(k≠o)与点P的轨迹有两个交点A、B,求弦AB的中垂线n在y轴上的截距y的取值范围.

查看答案和解析>>

科目:高中数学 来源:2009年北京101中学高考数学三模试卷(文科)(解析版) 题型:解答题

已知动点P到直线l:x=-的距离d1,是到定点F(-)的距离d2倍.
(1) 求动点P的轨迹方程;
(2) 若直线m:y=k(x+1)(k≠o)与点P的轨迹有两个交点A、B,求弦AB的中垂线n在y轴上的截距y的取值范围.

查看答案和解析>>

同步练习册答案