精英家教网 > 高中数学 > 题目详情

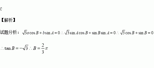
中,角所对的边分别为,若,则( )

A. B. C. D.

练习册系列答案
相关习题

科目:高中数学 来源:2015-2016学年河北省高一3月月考文科数学试卷(解析版) 题型:填空题

函数的定义域是

查看答案和解析>>

科目:高中数学 来源:2015-2016学年安徽省国科大附中高一下期中数学试卷(解析版) 题型:填空题

用秦九韶算法计算函数时的函数值时, .

(其中,当时,

查看答案和解析>>

科目:高中数学 来源:2015-2016学年湖北省黄石市高二下期中文科数学试卷(解析版) 题型:解答题

某数学教师对所任教的两个班级各抽取20名学生进行测试,分数分布如右表:

(Ⅰ)若成绩120分以上(含120分)为优秀,求从乙班参加测试的90分以上(含90分)的同学中随机任取2名同学,恰有1人为优秀的概率;

(Ⅱ)根据以上数据完成下面的×列联表: 在犯错概率小于0.1的前提下,你是否有足够的把握认为学生的数学成绩是否优秀与班级有关系?

分数区间

甲班频率

乙班频率

0.1

0.2

0.2

0.2

0.3

0.3

0.2

0.2

0.2

0.1

其中

优秀

不优秀

总计

甲班

乙班

总计

查看答案和解析>>

科目:高中数学 来源:2015-2016学年湖北省黄石市高二下期中文科数学试卷(解析版) 题型:选择题

设椭圆的离心率为,右焦点为,方程的两个实根分别为,则点 ( )

A.必在圆内 B.必在圆

C.必在圆上 D.以上三种情形都有可能

查看答案和解析>>

科目:高中数学 来源:2015-2016学年湖北省黄石市高二下期中文科数学试卷(解析版) 题型:选择题

已知全集 ,集合 ,集合 ,则集合 ( )

A. B. C. D.

查看答案和解析>>

科目:高中数学 来源:2015-2016学年湖北省黄石市高二下期中理科数学试卷(解析版) 题型:填空题

已知F1、F2为双曲线的两个焦点,P为双曲线右支上异于顶点的任意一点,O为坐标原点,下列四个命题:

①△PF1F2的内切圆的圆心必在直线x=3上;②△PF1F2的内切圆的圆心必在直线x=2上;③△PF1F2的内切圆的圆心必在直线OP上;④△PF1F2的内切圆必过(3,0).

其中真命题的序号是 ______.

查看答案和解析>>

科目:高中数学 来源:2015-2016学年湖北省襄阳市四校高一下学期期中联考数学试卷(解析版) 题型:解答题

阅读下面材料:

根据两角和与差的正弦公式,有

①,

由① + ② 得:

,有

代入③得:

(1)类比上述推理方法,根据两角和与差的余弦公式,证明:

(2)若△ABC的三个内角A、B、C满足,试判断△ABC的形状.

(提示:如果需要,也可以直接利用阅读材料及(1)中的结论).

查看答案和解析>>

科目:高中数学 来源:2015-2016学年河南省高一下期中数学试卷(解析版) 题型:选择题

在△ABC中,已知b2=ac且c=2a,则cos B等于( )

A. B. C. D.

查看答案和解析>>

同步练习册答案