精英家教网 > 高中数学 > 题目详情
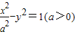
已知双曲线的一条准线为,则该双曲线的离心率为( )
A.
B.
C.
D.
【答案】分析:由双曲线的一条准线为,可以得到,由此可以求出该双曲线的离心率.
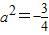
解答:解:由题意可知,,解得a2=3,或(舍去).


故选D.
点评:本题考查双曲线的离心率,解题时注意审题.
练习册系列答案
相关习题

科目:高中数学 来源: 题型:

已知双曲线的一条准线与抛物线y2=4x的准线重合,则双曲线的离心率为

A.                  B.               C.2                    D.4

查看答案和解析>>

科目:高中数学 来源: 题型:

已知双曲线的一条准线为,则该双曲线的离心率为

(A)                          (B)                     

(C)                       (D)

查看答案和解析>>

科目:高中数学 来源: 题型:

6.已知双曲线的一条准线与抛物线的准线重合,则该双曲线的离心率为

(A)                          (B)                     

(C)                       (D)

查看答案和解析>>

科目:高中数学 来源: 题型:

已知双曲线的一条准线与抛物线y2=-6x的准线重合,则该双曲线的离心率是            

查看答案和解析>>

科目:高中数学 来源:2011-2012学年四川省内江市、广安市高三第二次模拟联考试题理科数学(解析版) 题型:选择题

已知双曲线的一条准线经过抛物线y2=15x的焦点,则该双曲线的渐近线方程为

A、y=   B、y=  C、y=  D、y=  

 

查看答案和解析>>

同步练习册答案