精英家教网 > 高中数学 > 题目详情

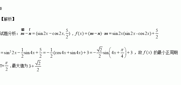
已知向量,则函数的最小正周期与最大值分别为

A. B. C. D.

练习册系列答案
相关习题

科目:高中数学 来源:2015-2016学年河北邢台市高二上学期第一次月考理科数学试卷(解析版) 题型:选择题

在正方体中,下列几种说法正确的是 ( )

A.

B.

C.

D.

查看答案和解析>>

科目:高中数学 来源:2015-2016学年辽宁沈阳东北育才学校高二上学期第一次作业数学试卷(解析版) 题型:解答题

(本小题12分)已知是同一平面内的三个向量,其中

(Ⅰ)若||,且,求的坐标;

(Ⅱ)若||=,且垂直,求的夹角

查看答案和解析>>

科目:高中数学 来源:2014-2015学年江西省赣州市高一下学期期末考试数学试卷(解析版) 题型:填空题

若不等式的解集为全体实数,则的取值范围是

查看答案和解析>>

科目:高中数学 来源:2016届江西省名校学术联盟高三第一次调研一文科数学试卷(解析版) 题型:选择题

运行如下程序框图:

若输出的的值为12,则判断框中的值可以是

A.2 B.3 C.4 D.5

查看答案和解析>>

科目:高中数学 来源:2016届江苏省高三第一阶段月考数学试卷(解析版) 题型:填空题

定义在正整数集上,且,则 .

查看答案和解析>>

科目:高中数学 来源:2016届吉林省长春市高三质量监测文科数学试卷(解析版) 题型:选择题

下列说法中正确的是 ( )

A.“”是“函数是奇函数”的充要条件;

B.若 .则

C.若为假命题,则均为假命题;

D.“若,则”的否命题是“若,则”.

查看答案和解析>>

科目:高中数学 来源:2014-2015学年东北三省等三校高三第一次模拟文科数学试卷(解析版) 题型:选择题

半径为1的球面上有四个点A,B,C,D,球心为点O,AB过点O,CA=CB,DA=DB,DC=1,则三棱锥A﹣BCD的体积为()

A. B. C. D.

查看答案和解析>>

科目:高中数学 来源:2014-2015学年湖北省宜昌市高二下学期期末文科数学试卷(解析版) 题型:选择题

已知倾斜角为的直线经过两点,则( )

A.3 B.﹣3 C.5 D.﹣1

查看答案和解析>>

同步练习册答案